Предмет: Алгебра,
автор: hfhdhzb
решите пожалуйста!!
Приложения:
Ответы
Автор ответа:
1
Ответ: надеюсь я правильно решила
Удачи
Объяснение:
Приложения:
Автор ответа:
1
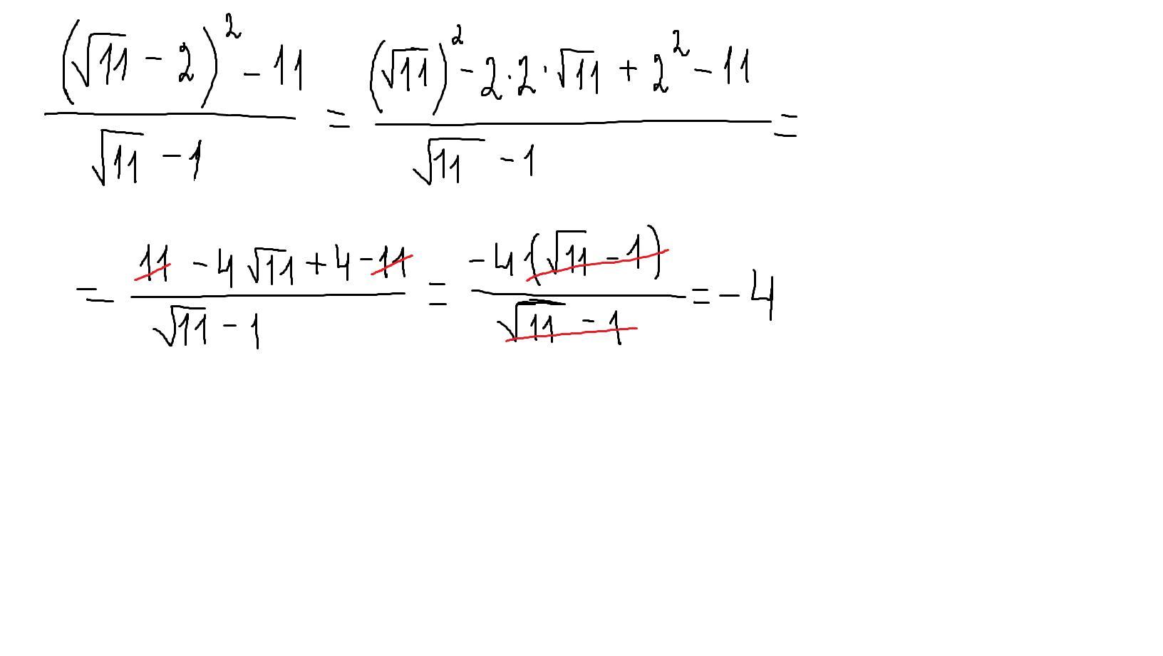
Ответ:
-4
Объяснение:
решение внизу
Приложения:
Похожие вопросы
Предмет: Математика,
автор: annakordina2009
Предмет: Литература,
автор: Аноним
Предмет: Алгебра,
автор: zenagrom20
Предмет: Математика,
автор: иринасерёгина