Предмет: Математика,
автор: anushk81
Помогите пожалуйста
Приложения:
kazbekkkk:
Ты 6 "Б" да
Ответы
Автор ответа:
0
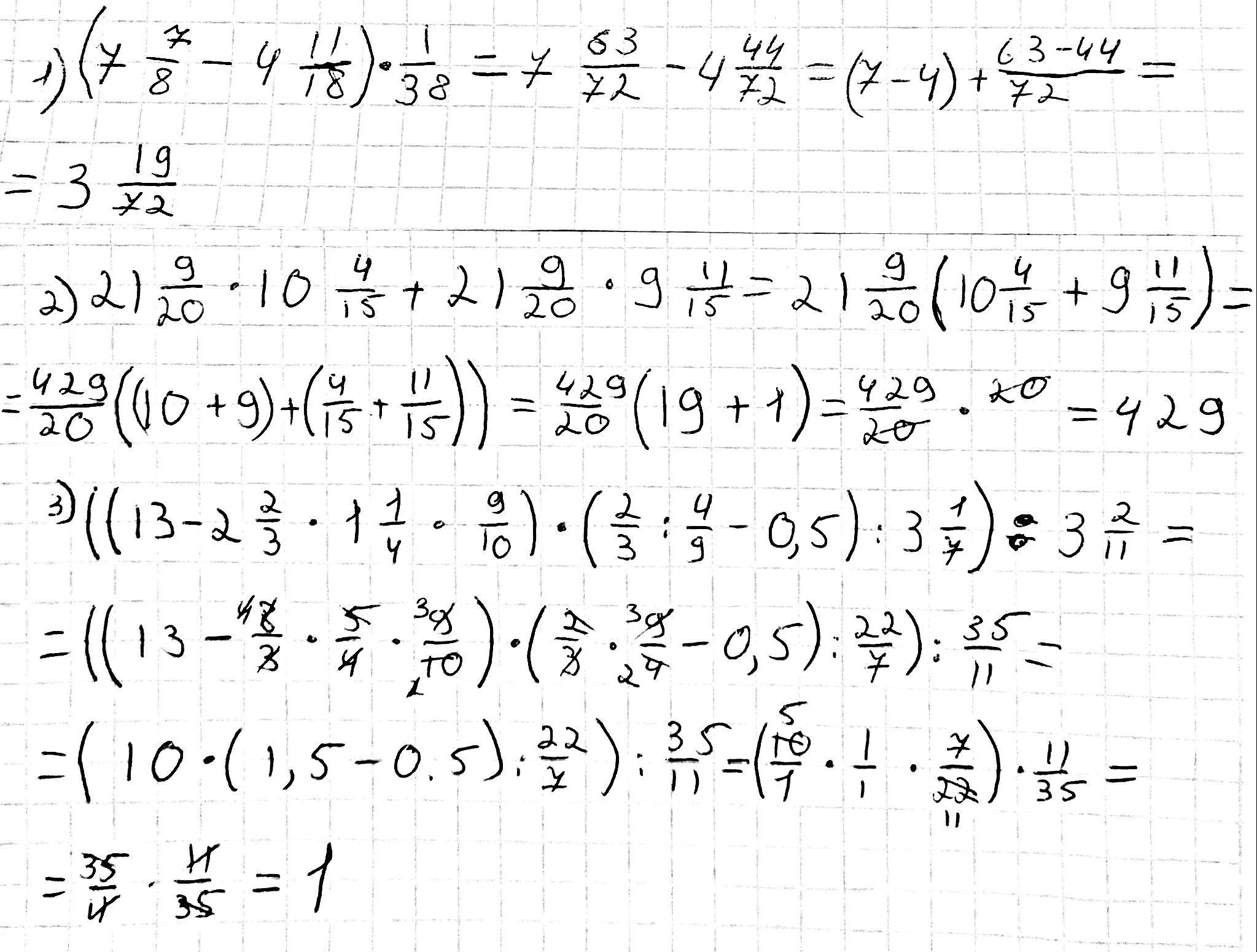
Ответ: вот
Снизу написано как решать
Приложения:
Похожие вопросы
Предмет: Алгебра,
автор: koshadj
Предмет: Українська мова,
автор: 993student
Предмет: Другие предметы,
автор: dubrovskyjdenys2009
Предмет: Алгебра,
автор: вреопнлгиррлгпнсгм