Предмет: Математика, автор: seitmuratovanazym

Алгебралық өрнекпен берілген тепе-тендікті далелденіз:

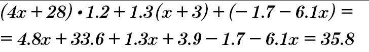
(4х+28)×1,2+1,3×(х+3)+(-1,7-6,1х)=35,8​

Приложения:

Ответы

Автор ответа: Аноним
26

Ответ:

Пошаговое объяснение:

-------------------------

Приложения:
Похожие вопросы
Предмет: Английский язык, автор: ValeraKolobab
Предмет: Українська мова, автор: jjgghjj
Предмет: Физика, автор: БиологияФоревер
ПОЖАЛУЙСТА! ОЧЕНЬ СРОЧНО!
ЗА ПОДРОБНОЕ КАЧЕСТВЕННОЕ РЕШЕНИЕ ДАЮ ОЧЕНЬ МНОГО БАЛЛОВ!
1. На тело в течение 2 мин действует сила 5 Н. Каков импульс силы?
2. Два шара с одинаковыми массами по 50 г двигались навстречу друг другу одинаковыми по модулю скоростями 2 м/с. После упругого столкновения каждый шар стал двигаться в обратном направлении с прежней по модулю скоростью. Каково изменение суммы импульсов двух шаров в результате столкновения?
3. В районе Волжской ГЭС притекает 9·103 м3 воды в 1с при напоре 26 м. Определить мощность потока.
4. Гвоздик массой 100 мг подняли с пола на стол, высота которого 75 см. Определить совершенную работу.
5. Два шара с одинаковыми массами по 50 г двигались навстречу друг другу одинаковыми по модулю скоростями 2 м/с. После неупругого столкновения шары остановились. Каково изменение суммы импульсов двух шаров в результате столкновения?
6. Первый электродвигатель, построенный академиком Яблочковым в 1834 году, равномерно поднимал (с помощью блока и нити) груз 50 Н на высоту 0,6 м за 2 с. Определите мощность этого двигателя.
7. Определить работу силы при равномерном поднятии груза массой 2 т на высоту 50 см.
ХОТЯ БЫ ПЕРВЫЕ 4