Предмет: Математика,
автор: Конфетка99
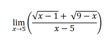
Вычислите предел функции
Приложения:
Ответы
Автор ответа:
0
Ответ:
oo
Пошаговое объяснение:
lim x->5 (√(x-1) + √(9-x)/(x-5)
Подставим 5
(√4 + √4)/0
4/0 = oo
Следовательно предел равен oo
Похожие вопросы
Предмет: Математика,
автор: ruslanka1713
Предмет: Математика,
автор: turalziyatxanov
Предмет: Математика,
автор: nastakondrasova987
Предмет: Математика,
автор: ilyasovapolina
Предмет: Математика,
автор: barsellonna