Предмет: Математика,
автор: savateev200362
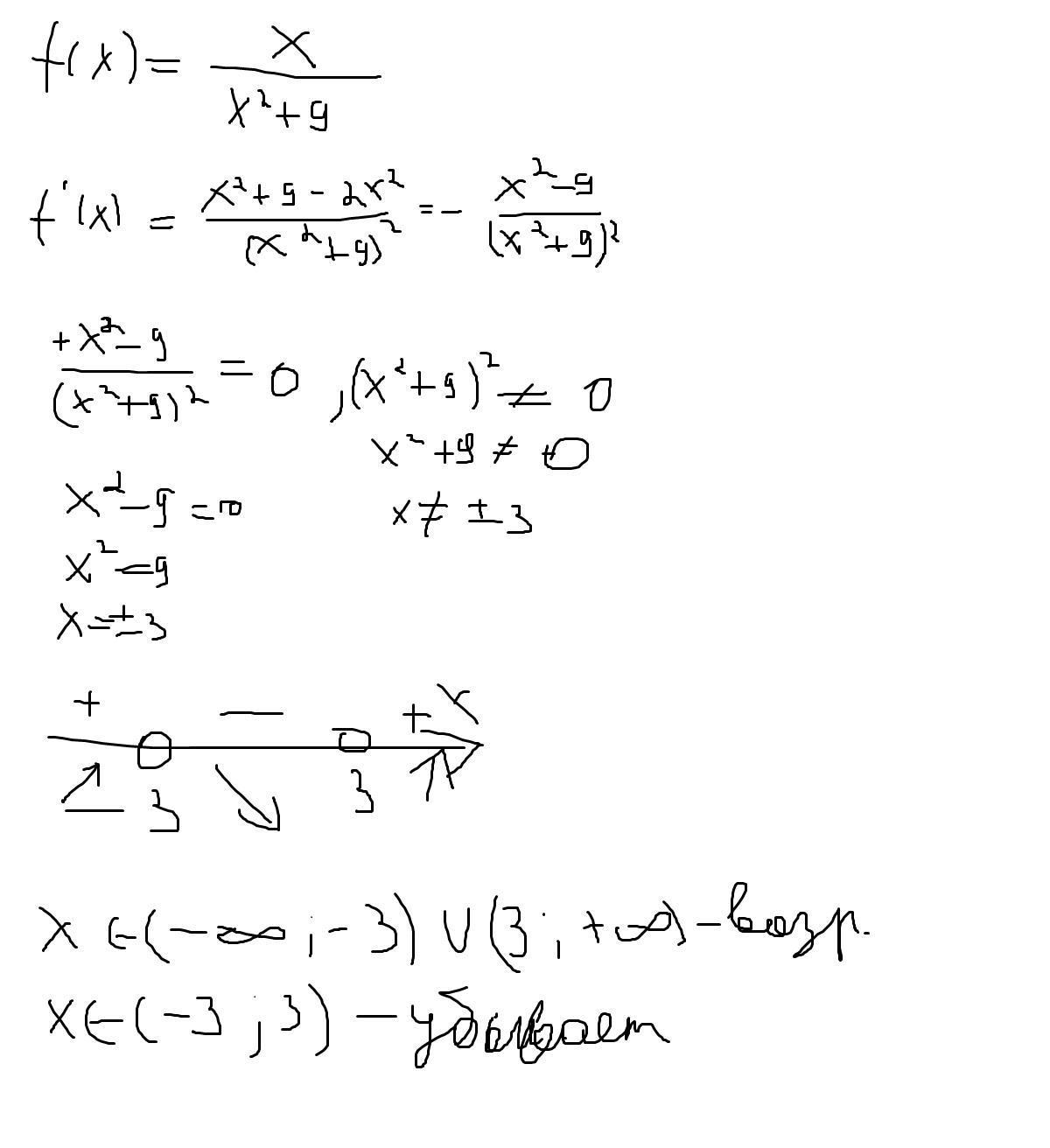
Найдите промежутки возрастания и убывания функции f(x)=x/x^2 + 9
Ответы
Автор ответа:
0
Ответ:
Пошаговое объяснение:
вот и все
Приложения:
Похожие вопросы
Предмет: Математика,
автор: niqush20aprel
Предмет: Геометрия,
автор: pavelprost2006
Предмет: Геометрия,
автор: ggoogg33
Предмет: Математика,
автор: Саби51
Предмет: Алгебра,
автор: pofgolskdooДЖЖУДЛ