Предмет: Физика,
автор: sashakocherga28
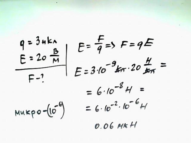
Вычислите силу, действующую на заряд 3нКл в точке поля с напряжеенностью 20В/м.Запишите ответ используя приставку Микро.
Ответы
Автор ответа:
1
Ответ:
Вычислите силу, действующую на заряд 3нКл в точке поля с напряжеенностью 20В/м.Запишите ответ используя приставку Микро.
Объяснение:
Приложения:
Похожие вопросы
Предмет: Английский язык,
автор: Ronav
Предмет: Английский язык,
автор: Ronav
Предмет: Алгебра,
автор: sofiamihajlovskaa55
Предмет: Математика,
автор: Sumaya8862
Предмет: Физика,
автор: Missmanymal