Предмет: Математика,
автор: angelok19991
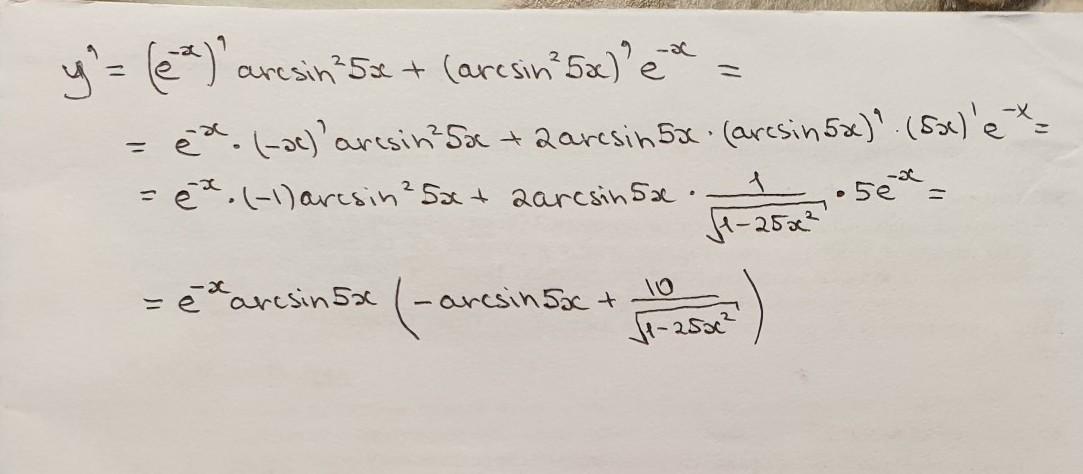
Продифференцировать функцию
ПОМОГИТЕ ПОЖАЛУЙСТА
Приложения:
Ответы
Автор ответа:
0
Ответ:
решение на фотографии
Приложения:
Похожие вопросы
Предмет: Химия,
автор: sashashapik6
Предмет: Математика,
автор: veyselzademehriban
Предмет: Алгебра,
автор: kotoork112
Предмет: Математика,
автор: 4470
Предмет: Литература,
автор: kirchenkox13