Предмет: Алгебра,
автор: Лолкекчебурек1337
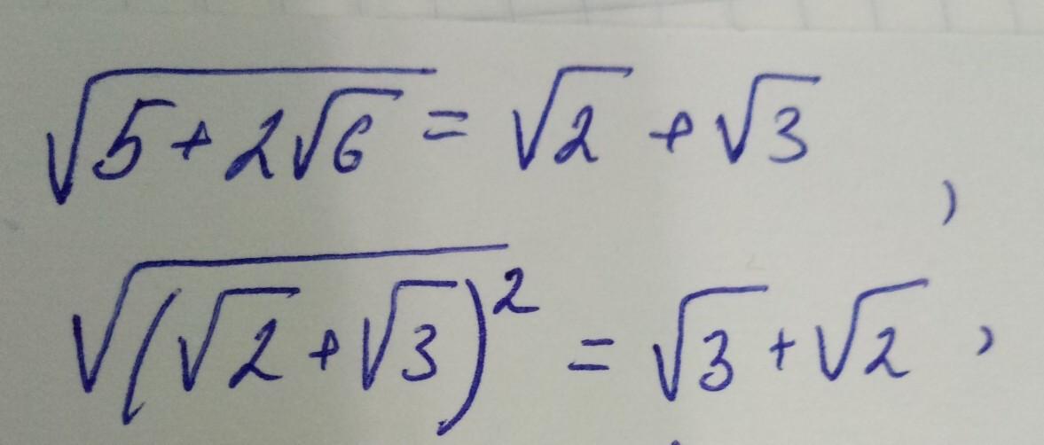
Докажи что......(пример с корнями)
Приложения:
Ответы
Автор ответа:
1
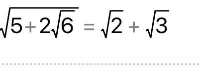
Используем квадрат суммы в первом случае
Приложения:
Похожие вопросы
Предмет: Другие предметы,
автор: sashazastrizhnuy
Предмет: Английский язык,
автор: mavorska53
Предмет: Алгебра,
автор: aroslavgorsak
Предмет: Литература,
автор: Tekahiko
Предмет: Математика,
автор: Ник5652111