Предмет: Физика,
автор: danilsahaivanov
решите 3 задание даю 35 баллов заранее спасибо
Приложения:
Ответы
Автор ответа:
0
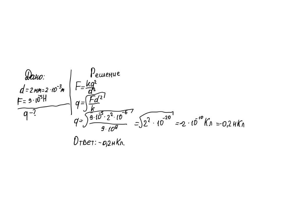
Ответ:-0.2 нКл
Объяснение:на картинке
Приложения:
Похожие вопросы
Предмет: Математика,
автор: askorbinka8983
Предмет: Информатика,
автор: olyasemirith767
Предмет: Алгебра,
автор: kendirudik
Предмет: Алгебра,
автор: kira78312kira
Предмет: Химия,
автор: gbugor010