Предмет: Математика,
автор: kikooooooo
Помогите с уравнением,умоляю!
Приложения:
Ответы
Автор ответа:
1
Ответ:
17 1/2
Пошаговое объяснение:
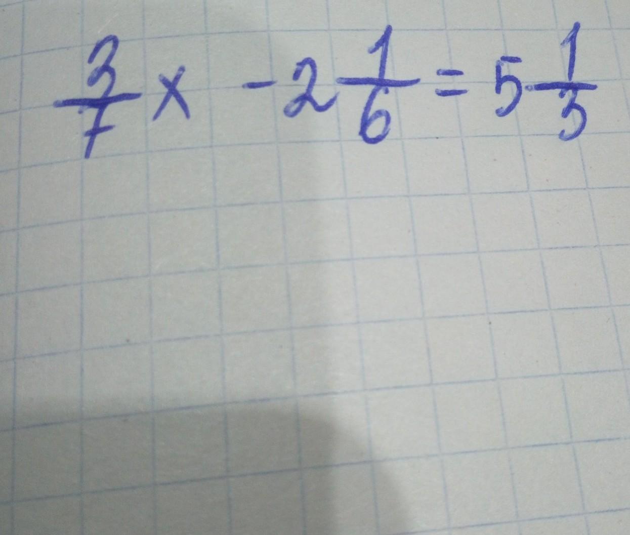
3/7х-2 1/6=5 1/3
х=35/2 (сокращаем)
х=17 1/2; 17,5
Автор ответа:
5
3/7x-2 1/6=5 1/3
3/7x=5 1/3+2 1/6
3/7x=7 1/2
x=15/2÷3/7
x=35/2
x=17 1/2
angell0001:
вот так всё четко???
не за что:-)
Похожие вопросы
Предмет: Математика,
автор: elza95124
Предмет: Право,
автор: laninaa932
Предмет: Геометрия,
автор: LiFr07
Предмет: Биология,
автор: девочкаВиктория
Предмет: Математика,
автор: дэн2015