Предмет: Математика, автор: Аноним

Помогите пож
-----------------------

Приложения:

Ответы

Автор ответа: NNNLLL54
0

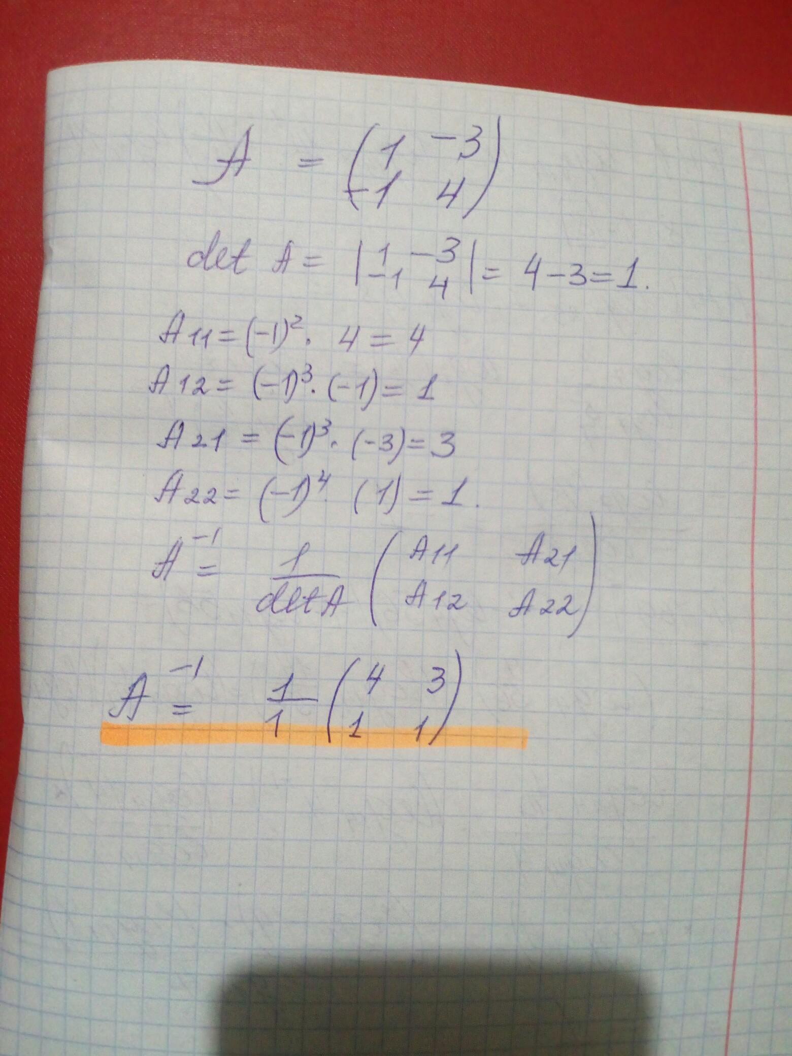
A=\left(\begin{array}{cc}1&-3\\-1&4\end{array}\right)\; \; ,\; \; \; detA=4-3=1\ne 0\\\\A_{11}=4\; \; \; A_{12}=1\\A_{21}=3\; \; \; A_{22}=1\\\\A^{-1}=\left(\begin{array}{cc}4&3\\1&1\end{array}\right)

Ответ:  №3.

Автор ответа: Аноним
1

Ответ: во вложении Пошаговое объяснение:

Приложения:
Похожие вопросы
Предмет: Алгебра, автор: 777kot777alex
Предмет: Математика, автор: akbotazhaksy
Предмет: Биология, автор: Araiyssov2014