Предмет: Информатика, автор: teror2266

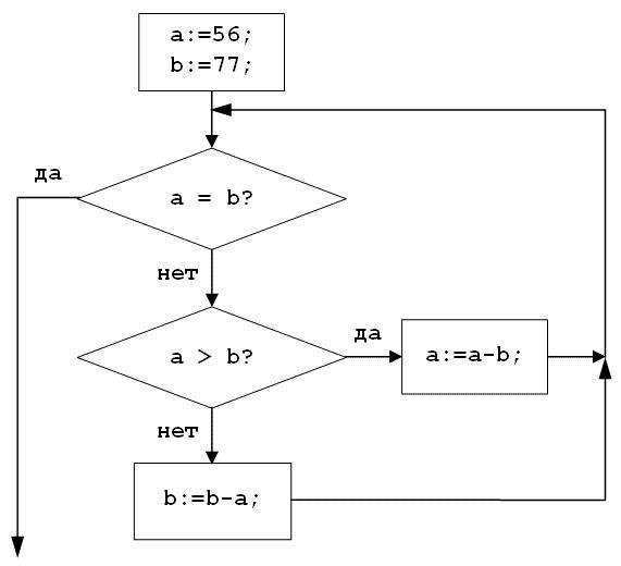
1)Определите значения переменной «a» после выполнения фрагмента алгоритма.
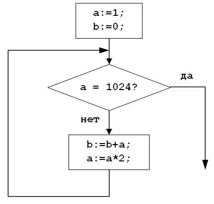
2)Определите значение переменной «b» после выполнения фрагмента алгоритма.

Приложения:

Ответы

Автор ответа: kurberru
4

Ответ:

Первое)7

Второе)1023

Похожие вопросы
Предмет: История, автор: sofochka456
Предмет: Биология, автор: Эдик111155
Предмет: Алгебра, автор: kristinaav1