Предмет: Математика,
автор: svetlanabezobrazova4
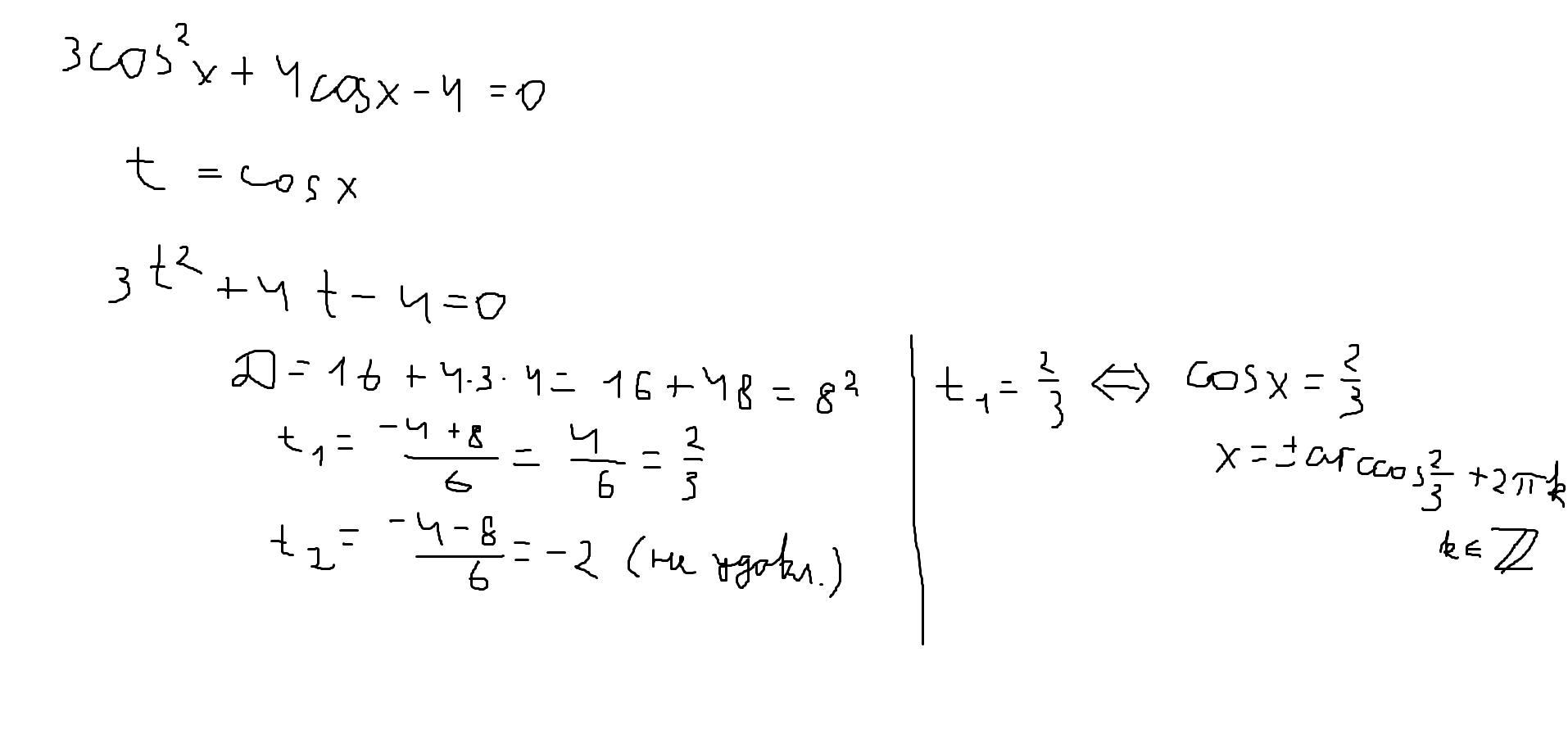
Помогите решить тригонометрическое уравнение с дискрименантом 3cos^2x+4cosx-4=0
Ответы
Автор ответа:
1
Відповідь:
Покрокове пояснення:
Приложения:
svetlanabezobrazova4:
А помоги еще одно уравнение решить, так же через дискриминант
6sin^2 x-15sinx+6=0
Заранее огромное спасибо
Похожие вопросы
Предмет: Математика,
автор: Oleksander007
Предмет: Математика,
автор: Oleksander007
Предмет: Українська мова,
автор: muwka123i
Предмет: Математика,
автор: secretloveheh
Предмет: Математика,
автор: чика2207