Предмет: Математика,
автор: sam0032
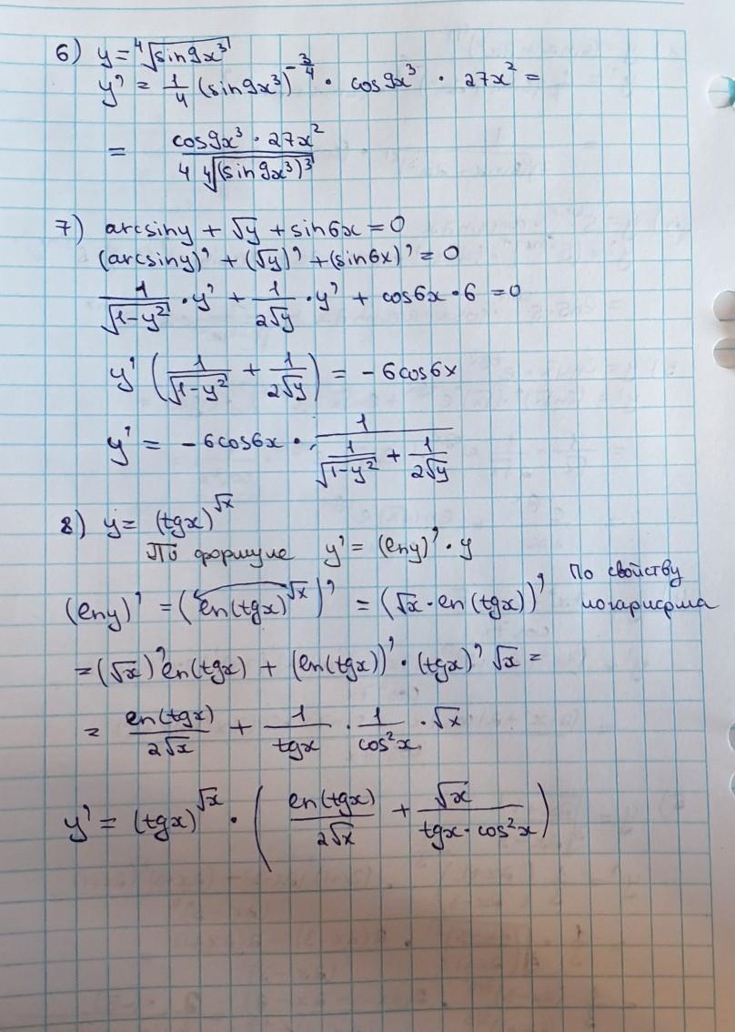
Пожалуйста помогите найти производные функций:
Приложения:
Ответы
Автор ответа:
0
Ответ:
решение на фотографиях
Приложения:
Похожие вопросы
Предмет: Математика,
автор: taejen21
Предмет: Геометрия,
автор: tuktuk5555
Предмет: История,
автор: Аноним
Предмет: Алгебра,
автор: Аноним
Предмет: Химия,
автор: макс2057