Предмет: Геометрия,
автор: jananurmamedova
Помогите плизз до утра пожалуйста
Приложения:
Ответы
Автор ответа:
0
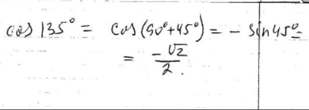
вот а чему равен минус косинус 135° не знаю(((
Приложения:
Похожие вопросы
Предмет: Математика,
автор: annamoyseenkocn
Предмет: Математика,
автор: anelarahatova8
Предмет: Алгебра,
автор: ВладаВлада2016
Предмет: Математика,
автор: loogona123
Предмет: Математика,
автор: mm781667