Предмет: Алгебра,
автор: Salimonio
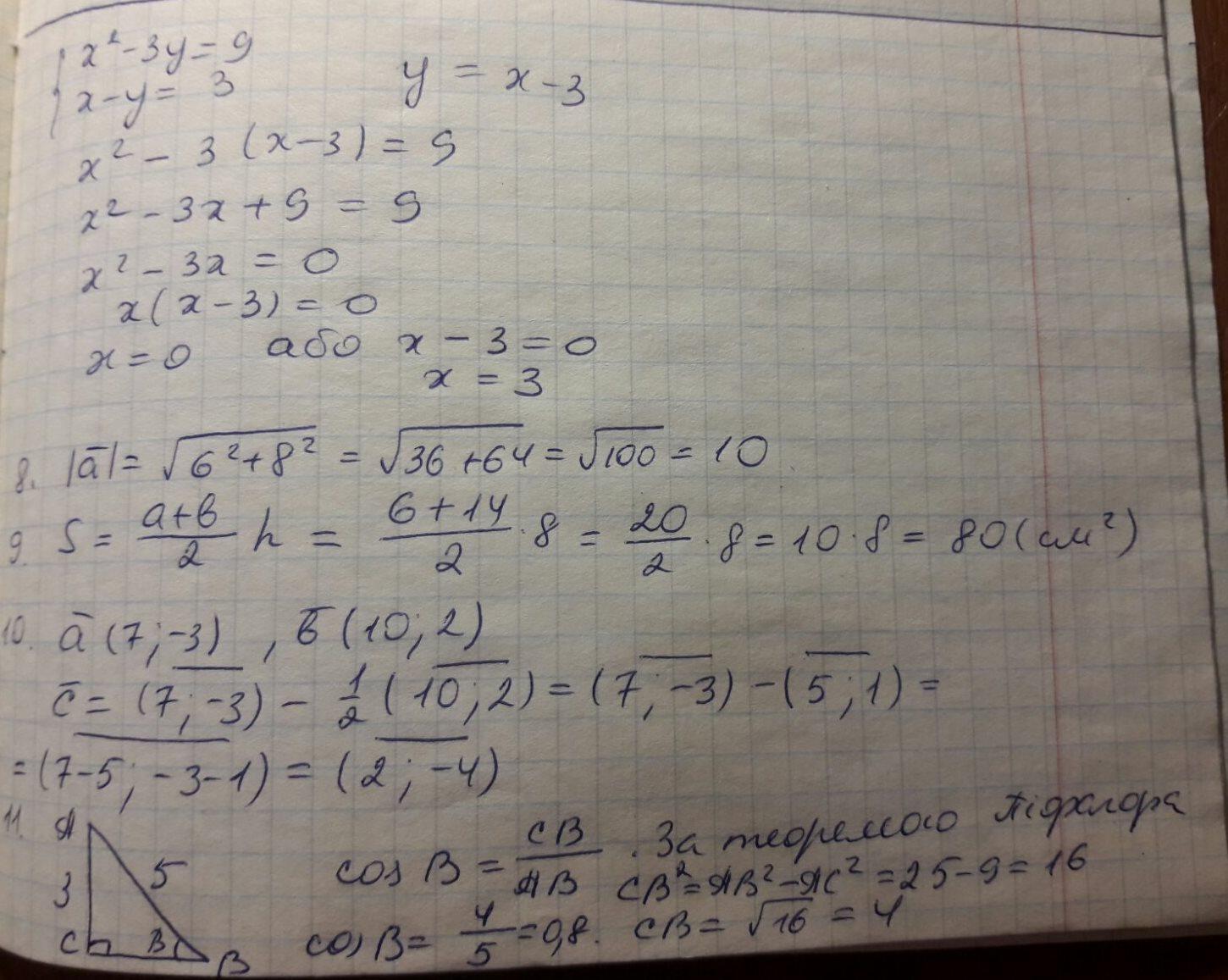
Номер семь, ну если получиться можно и другое
Приложения:
Ответы
Автор ответа:
0
Відповідь:
Пояснення:
Приложения:
Похожие вопросы
Предмет: Физика,
автор: 228kekcheburek
Предмет: Биология,
автор: amazinggenius
Предмет: Биология,
автор: amazinggenius
Предмет: Математика,
автор: пова3
Предмет: Математика,
автор: Аноним