Предмет: Алгебра,
автор: nikita3i5
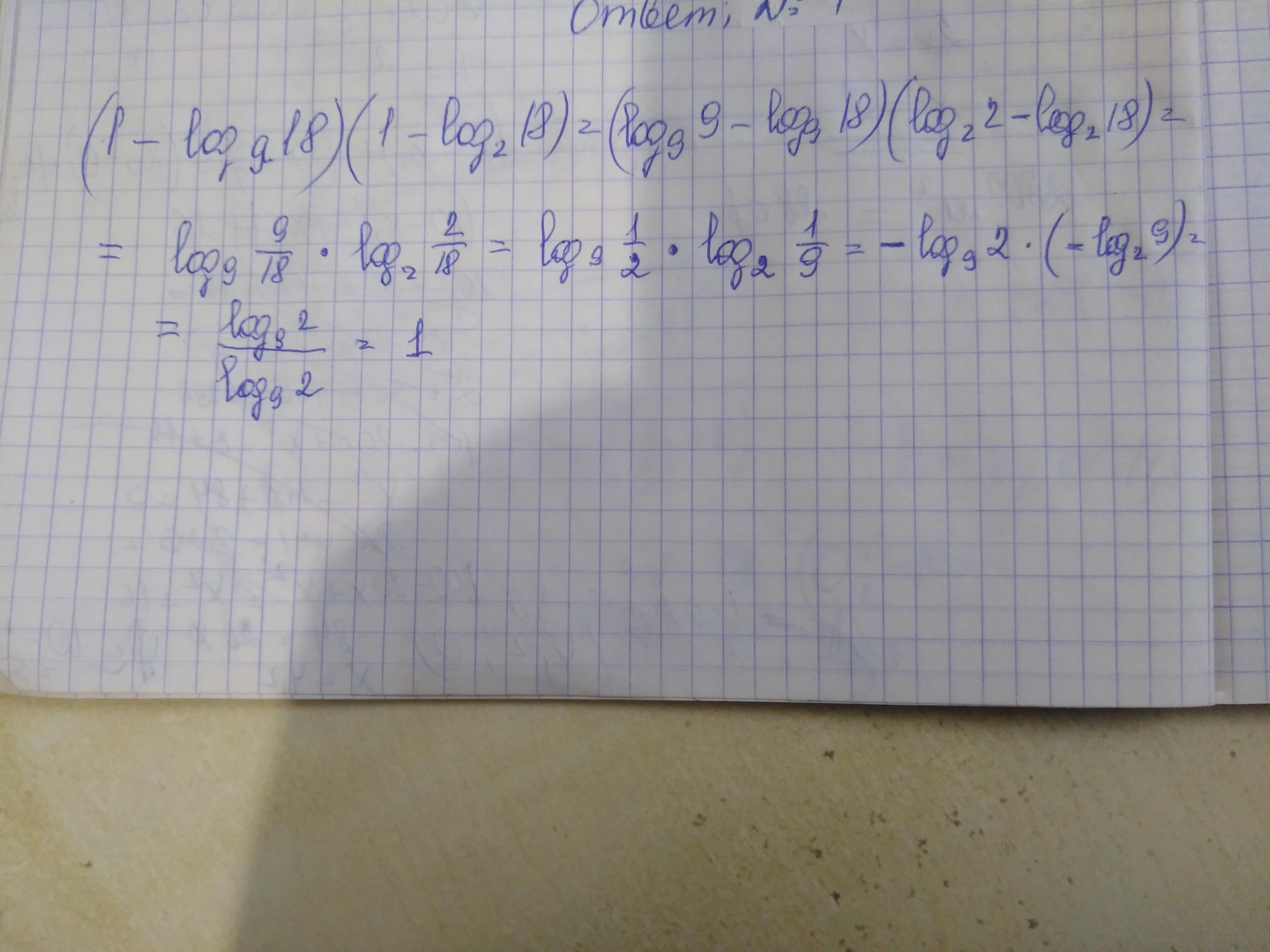
(1-log9(18))*(1-log2(18))
Ответы
Автор ответа:
0
Смотри.......................
Приложения:
Похожие вопросы
Предмет: Литература,
автор: ivantarariev12
Предмет: Русский язык,
автор: soska0nerealka
Предмет: Математика,
автор: cuprinazorina3
Предмет: Математика,
автор: Habib175
Предмет: Математика,
автор: alisasukhoplyu