Предмет: Математика,
автор: artembulba20
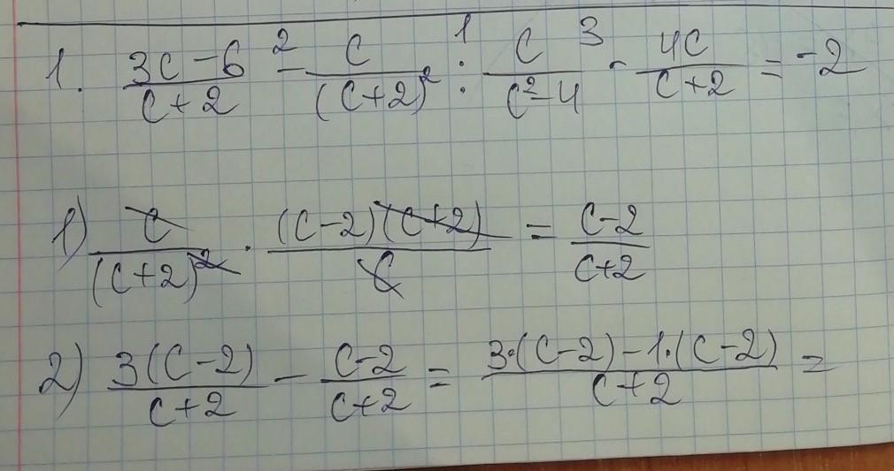
Решите пожалуста лав 25 балов. с решение пожалуста .
Приложения:
Ответы
Автор ответа:
0
Ответ:
Нууу, как бы, я не знаю как делать 2 (или мне лень разбираться, не знаюю)
Приложения:
Похожие вопросы
Предмет: Химия,
автор: vladyousik777
Предмет: Математика,
автор: humeniukvicky
Предмет: Геометрия,
автор: robloxsofimeepcitiad
Предмет: Биология,
автор: Аноним
Предмет: Математика,
автор: дина360