Предмет: Алгебра,
автор: Ayfosera
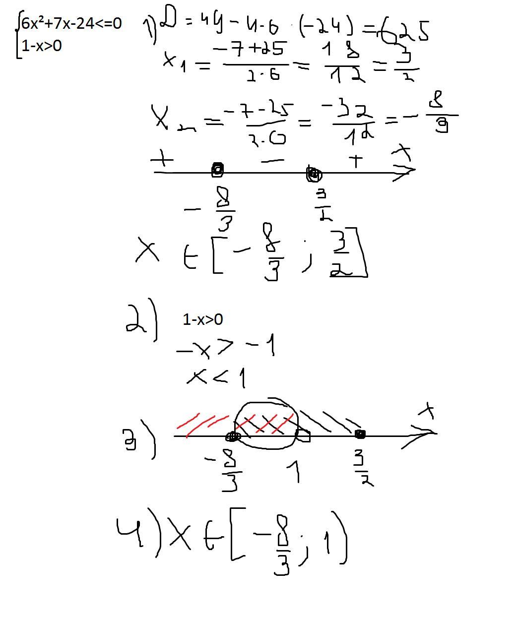
Решите систему неравенств
{6х²+7х-24<=0
{1-х>0
DeKoY2348kiked:
Ayfosera Можешь пожалуйста зайти в мой профиль и помочь с последним вопросом на который никто не ответил
Там вопрос по истории.
Хэ-э-э-й
Ответы
Автор ответа:
2
Ответ:
Объяснение:
вот и ввсе
Приложения:
Похожие вопросы
Предмет: Английский язык,
автор: nadiatredit638
Предмет: Алгебра,
автор: alyasycheva994
Предмет: Английский язык,
автор: charosalimova05
Предмет: Физика,
автор: Zorina1974