Предмет: Алгебра, автор: vanserebro

Ребята, помогите с решением пределов пожалуйста.

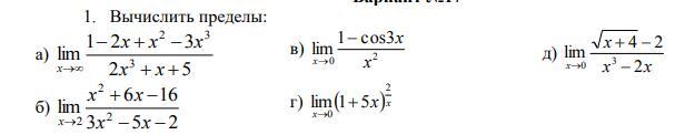
Приложения:

Ответы

Автор ответа: NNNLLL54
1

1)\; \; \lim\limits _{x \to \infty}\frac{1-2x+x^2-3x^3}{2x^3+x+5}=\lim\limits _{x \to \infty}\frac{-3x^3}{2x^3}=-\frac{3}{2}\\\\\\\2)\; \; \lim\limits _{x \to 2}\frac{x^2+6x-16}{3x^2-5x-2}=\lim\limits _{x \to 2}\frac{(x-2)(x+8)}{3(x-2)(x+\frac{1}{3})}=\lim\limits _{x \to 2}\frac{x+8}{3x+1}=\frac{10}{7}

3)\; \; \lim\limits _{x \to 0}\frac{1-cos3x}{x^2}=\lim\limits _{x \to 0}\frac{2sin^2\frac{3x}{2}}{x^2}=\lim\limits _{x \to 0}\frac{2\cdot \frac{9x^2}{4}}{x^2}=\frac{9}{2}\\\\\\4)\; \; \lim\limits _{x \to 0}(1+5x)^{\frac{2}{x}}=\lim\limits _{x \to 0}(1+5x)^{\frac{1}{5x}\cdot \frac{5x\cdot 2}{x}}=e^{\lim\limits _{x \to 0}\frac{10x}{x}}=e^{10}

5)\; \; \lim\limits _{x \to 0}\frac{\sqrt{x+4}-2}{x^3-2x}=\lim\limits _{x \to 0}\frac{x+4-4}{x(x^2-2)(\sqrt{x+4}+2)}=\lim\limits _{x \to 0}\frac{1}{(x^2-2)(\sqrt{x+4}+2)}=-\frac{1}{8}

Похожие вопросы
Предмет: Математика, автор: narmina8