Предмет: Алгебра,
автор: яидиот2345
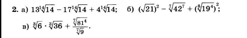
Срочно нужно решить алгебру, даю 30 баллов!
Приложения:
Ответы
Автор ответа:
0
Ответ:
Смотреть фото
Объяснение:
Задание очень лёгкое, выучи свойства степеней и все станет понятно
Приложения:
Похожие вопросы
Предмет: Математика,
автор: sownro
Предмет: Литература,
автор: yaroslavayegorova
Предмет: Математика,
автор: emakspro828
Предмет: Математика,
автор: юра317
Предмет: Математика,
автор: itsmioanaz