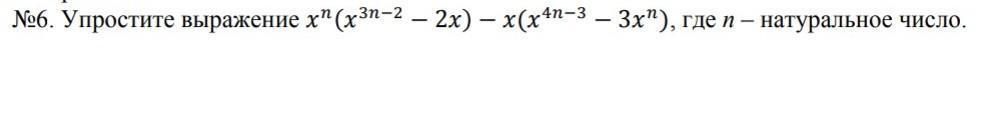
Предмет: Математика, автор: Аноним

Решите, пожалуйста быстрее​

Приложения:

Ответы

Автор ответа: карамелька9550
1
Готово .............
Приложения:

карамелька9550: Стой, я напутала
карамелька9550: Там ответ не -5x^n x ,a просто х^n*x
карамелька9550: Я решала быстро минус не увидела
карамелька9550: Без -5!
Аноним: ок
Аноним: а можешь прям исправленное прислать?
Аноним: ну типо где именно
Похожие вопросы
Предмет: Математика, автор: allanisbisenova
Предмет: Английский язык, автор: darinaceketa
Предмет: Математика, автор: PlayerTheMineToCraft