Предмет: Геометрия,
автор: leraleralera0419
1) Периметр треугольника равен 6 см. Найдите его высоту
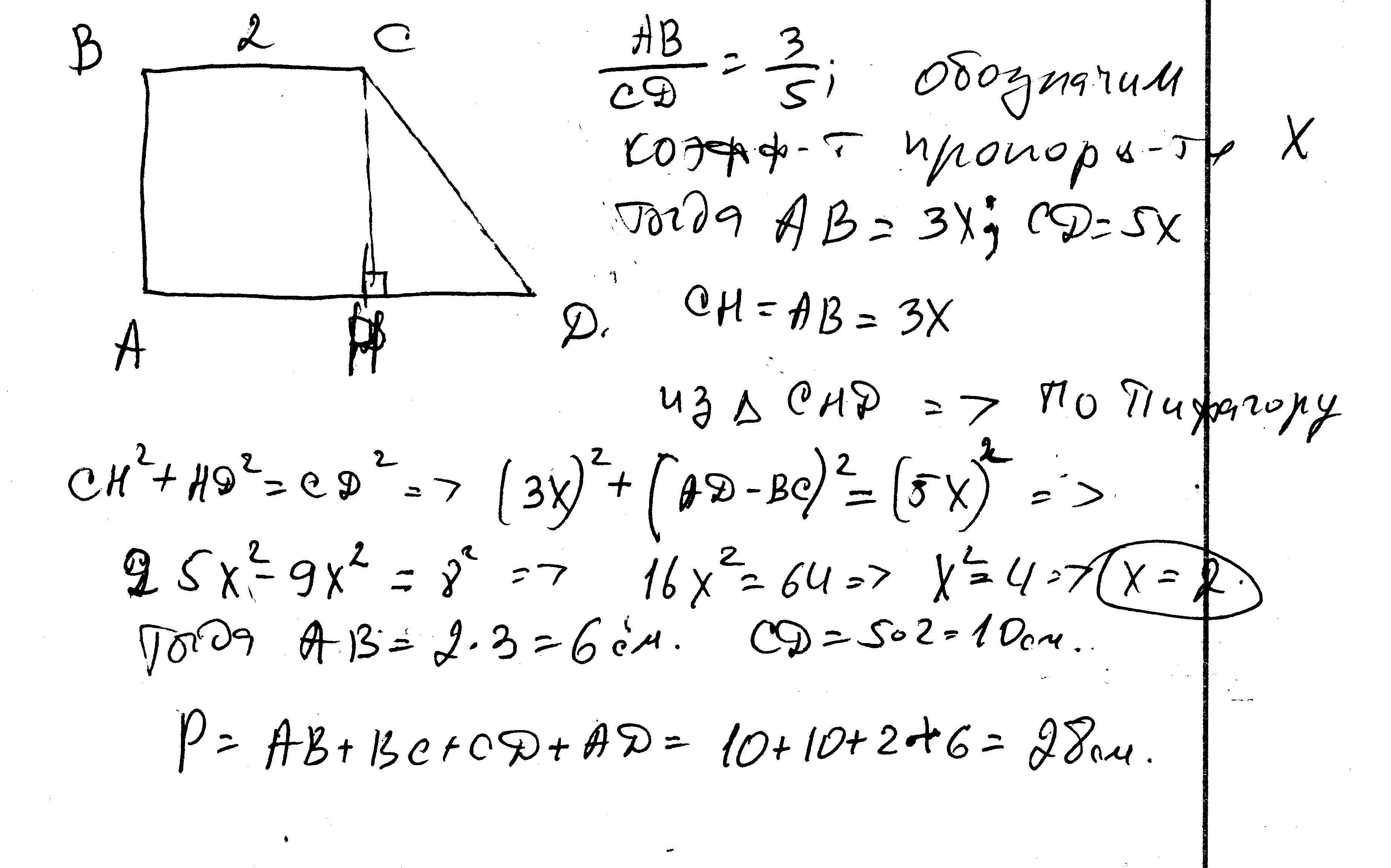
2) основания прямоугольной трапеции равны 2 см и 10 см, а боковые стороны относятся как 3:5. Найдите периметр трапеции
Ответы
Автор ответа:
1
1) если равностороний то:
периметр треугольника равен сумме длин всех трех сторон, т. к. треугольник равносторонний, то каждая из сторон равна 6/3=2.
Высота равностороннего прямоугольника делит его на два равных прямоугольных треугольника. Гипотенуза получившегося прямоугольного треугольника равна стороне исходного (равностороннего треугольника) =2.
Один из катетов получившегося треугольника = высоте, другой=2/2.
По теореме Пифагора находим неизвестный катет (высоту исходного треугольника) =корень квадратный из (2*2+1*1)=корень квадратный из (3).
Высота равна корень квадратный из (3)
2) в рисунке*
Приложения:
Похожие вопросы
Предмет: Алгебра,
автор: romagus812
Предмет: Геометрия,
автор: olashetinko329
Предмет: Русский язык,
автор: matviylion12
Предмет: Физика,
автор: асемпарад
Предмет: Математика,
автор: Тамерлан00000000001