Предмет: Математика,
автор: mariaemelyanenko20
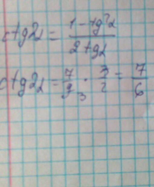
Вычислить ctg2альфа, если тангенс альфа равно 1/3
Пжжжжж
Ответы
Автор ответа:
1
Ответ:
7/6 фотка сейчас будет
Пошаговое объяснение:
Приложения:
Автор ответа:
1
Ответ на фотографии.
Удачи!
Приложения:
Похожие вопросы
Предмет: Алгебра,
автор: annaguzovska1
Предмет: История,
автор: Аноним
Предмет: Українська література,
автор: tocaboca74674
Предмет: Химия,
автор: Vlsadklsa
Предмет: Алгебра,
автор: valeriyakozyre