Предмет: Алгебра,
автор: Neooch
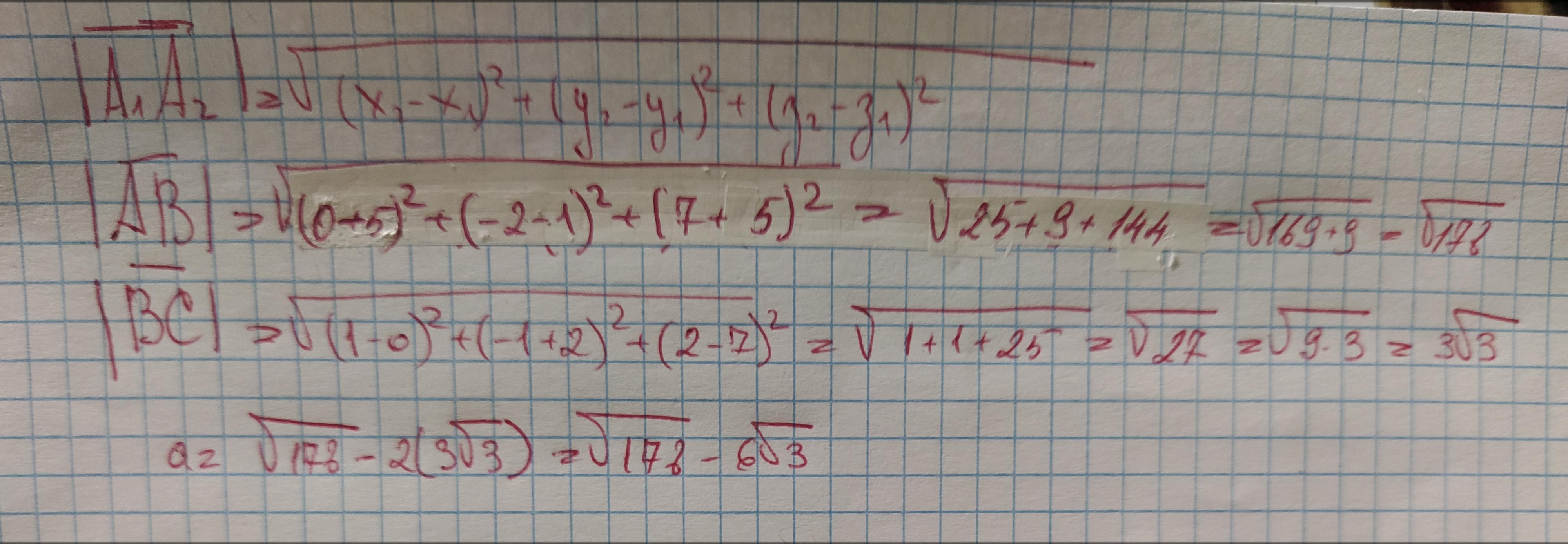
Найти вектор а=АВ -2ВС и его длину |а|, если А(5; 1; -5) В(0;-2;7) С(1;-1;2)
Ответы
Автор ответа:
0
Возможно там можно достать 178 из под Корня целым числом, но я такого значения не нашла.
Приложения:
Похожие вопросы
Предмет: Математика,
автор: razmikkerektsyan
Предмет: Английский язык,
автор: vasiagubug
Предмет: Информатика,
автор: elizavettavis
Предмет: Химия,
автор: nastikk2
Предмет: Алгебра,
автор: Liffkoil36