Предмет: Алгебра,
автор: timosukmilana489
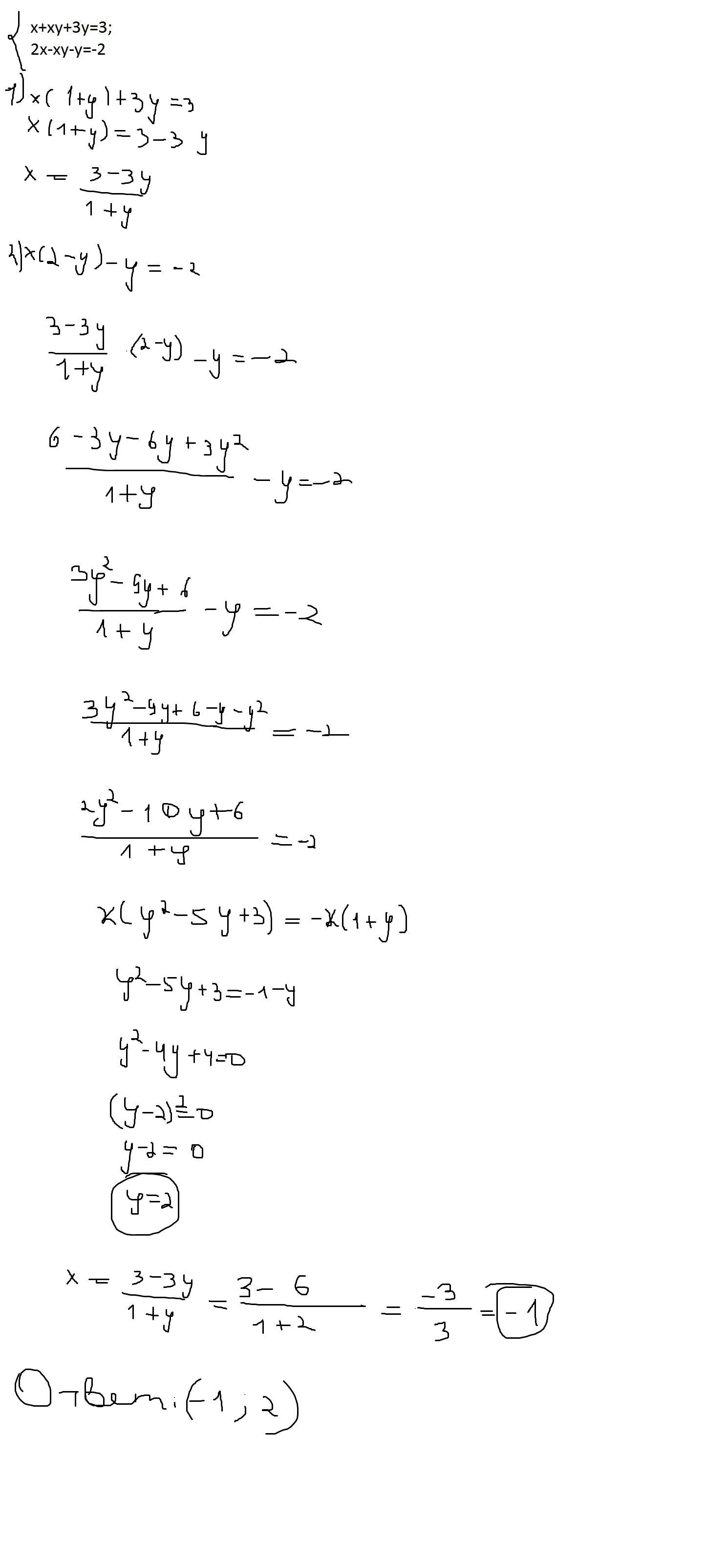
Розв'яжіть систему рівнянь: x+xy+3y=3; 2x-xy-y=-2
Ответы
Автор ответа:
7
Ответ:
Объяснение:
вот и все
Приложения:
Похожие вопросы
Предмет: Математика,
автор: abdulbositj594
Предмет: Математика,
автор: Nike1g
Предмет: Английский язык,
автор: shadowfliks123
Предмет: Математика,
автор: 111София11
Предмет: Алгебра,
автор: Ника5651