Предмет: Математика,
автор: august210802
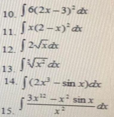
Решите пожалуйста интегралы
Приложения:
Ответы
Автор ответа:
1
Ответ:
=====================
Пошаговое объяснение:
Приложения:
Похожие вопросы
Предмет: Физика,
автор: Yosmr
Предмет: Математика,
автор: markmmmmm
Предмет: Физика,
автор: gulevicd2695
Предмет: Литература,
автор: Аноним