Предмет: Математика,
автор: eti999
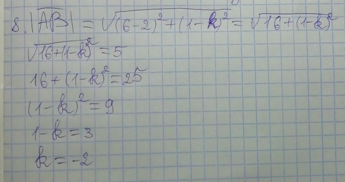
8.
9.
11.
помогите пожалуйста
Приложения:
Ответы
Автор ответа:
1
Ответ:
Сори, в 9 и 8 я более менее уверенна, а в 11 вообще нет
И если будешь списывать, то лучше вдумчиво, ибо я не ручаюсь)
Приложения:
eti999:
всё равно большое спасибо)
Похожие вопросы
Предмет: Английский язык,
автор: oleksiyenkoalina
Предмет: Геометрия,
автор: Crest9192
Предмет: Английский язык,
автор: abramcuko67
Предмет: Алгебра,
автор: tea74
Предмет: Алгебра,
автор: zarina9991rin