Предмет: Математика,
автор: anatolykovalwnko2016
студенты, нужна помощь
Приложения:
Аноним:
13/8=?))))))))))) з один вопрос. Цените себя, не других, высоко. Удачи.
че сможете , срочно надо
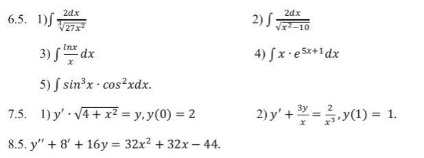
смогу три интеграла. Устроит?
да
Ответы
Автор ответа:
1
Ответ: во вложении Пошаговое объяснение:
Приложения:
Похожие вопросы
Предмет: Математика,
автор: stoykaivan11
Предмет: Алгебра,
автор: darya0313
Предмет: Математика,
автор: vellasocastro
Предмет: География,
автор: Анна893245
Предмет: Математика,
автор: амиркхан