Предмет: Математика,
автор: Аноним
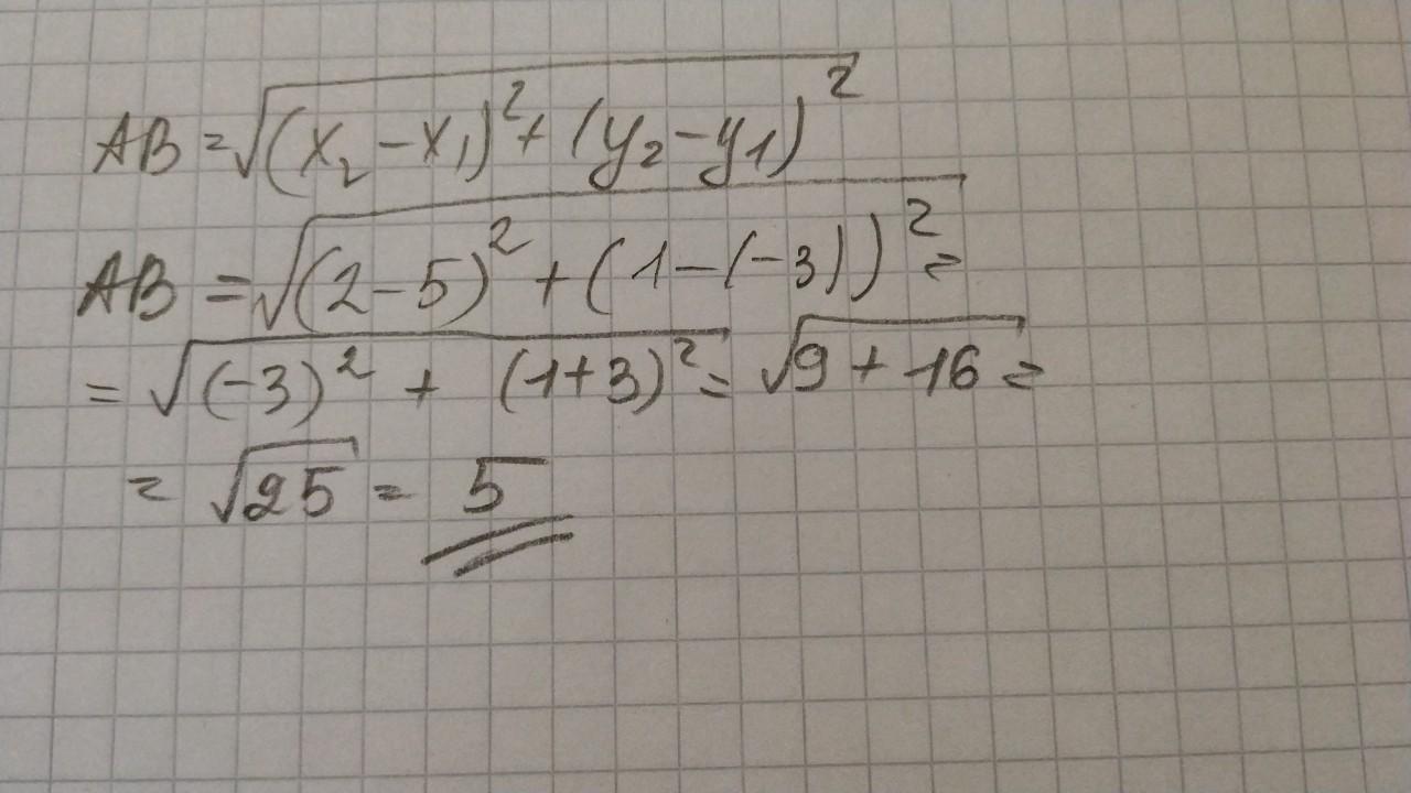
Найдите расстояние между A(5, -3) и B(2, 1).
Ответы
Автор ответа:
0
Відповідь:
Покрокове пояснення:
Приложения:
Похожие вопросы
Предмет: Українська мова,
автор: volodakoptev2
Предмет: Геометрия,
автор: polina7036
Предмет: Математика,
автор: mtaskaeva542
Предмет: Литература,
автор: ТТр0сТO
Предмет: Литература,
автор: alina20041312