Предмет: Геометрия,
автор: Epersina04
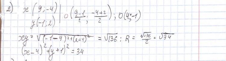
2. Напишите уравнение окружности с диаметром XY, если известно,
что X (9; –4), Y (–1; 2).
Ответы
Автор ответа:
1
Ответ: (x-4)^2+(y+1)^2=34
Приложения:
Похожие вопросы
Предмет: Английский язык,
автор: yevheniiadoluik0105
Предмет: Алгебра,
автор: problet53
Предмет: Математика,
автор: jroslavyy
Предмет: Алгебра,
автор: 05roui
Предмет: Математика,
автор: alenalyadova9