Предмет: Физика,
автор: taisiya200598
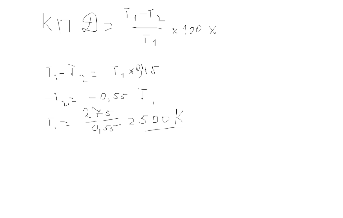
КПД идеальной тепловой машины 45% Какова температура нагревателя , если температура холодильника 2С?
помогите плииззз(**
Ответы
Автор ответа:
0
)))))))))))))))))))))))))))))))))))))))))))))
Приложения:
Похожие вопросы
Предмет: Химия,
автор: sokolskiyilya
Предмет: История,
автор: dianatas202
Предмет: Химия,
автор: arinaaa8
Предмет: Математика,
автор: tinusha