Предмет: Физика,
автор: n3tron
Потенциал поля задается функцией φ=axy-bz^3. Определить напряженность электрического поля.
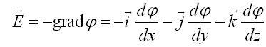
(Решил сам, нужно только найти производную функции по формуле (см. картинку)).
Приложения:
Ответы
Автор ответа:
1
Ответ:
Объяснение:
Дано:
φ = a·x·y - b·z³
__________
Е - ?
Находим частные производные:
dφ / dx = a·y
dφ / dy = a·x
dφ / dz = -3·b·z²
Тогда:
E = -i ·a·y - j ·a·x + k ·3·b·z²
Похожие вопросы
Предмет: Биология,
автор: albosum
Предмет: Геометрия,
автор: bespalkoillia53
Предмет: Немецкий язык,
автор: dutkovika07
Предмет: Литература,
автор: Monsterkill777
Предмет: Математика,
автор: gerpound