Предмет: Математика,
автор: 2Lisa2
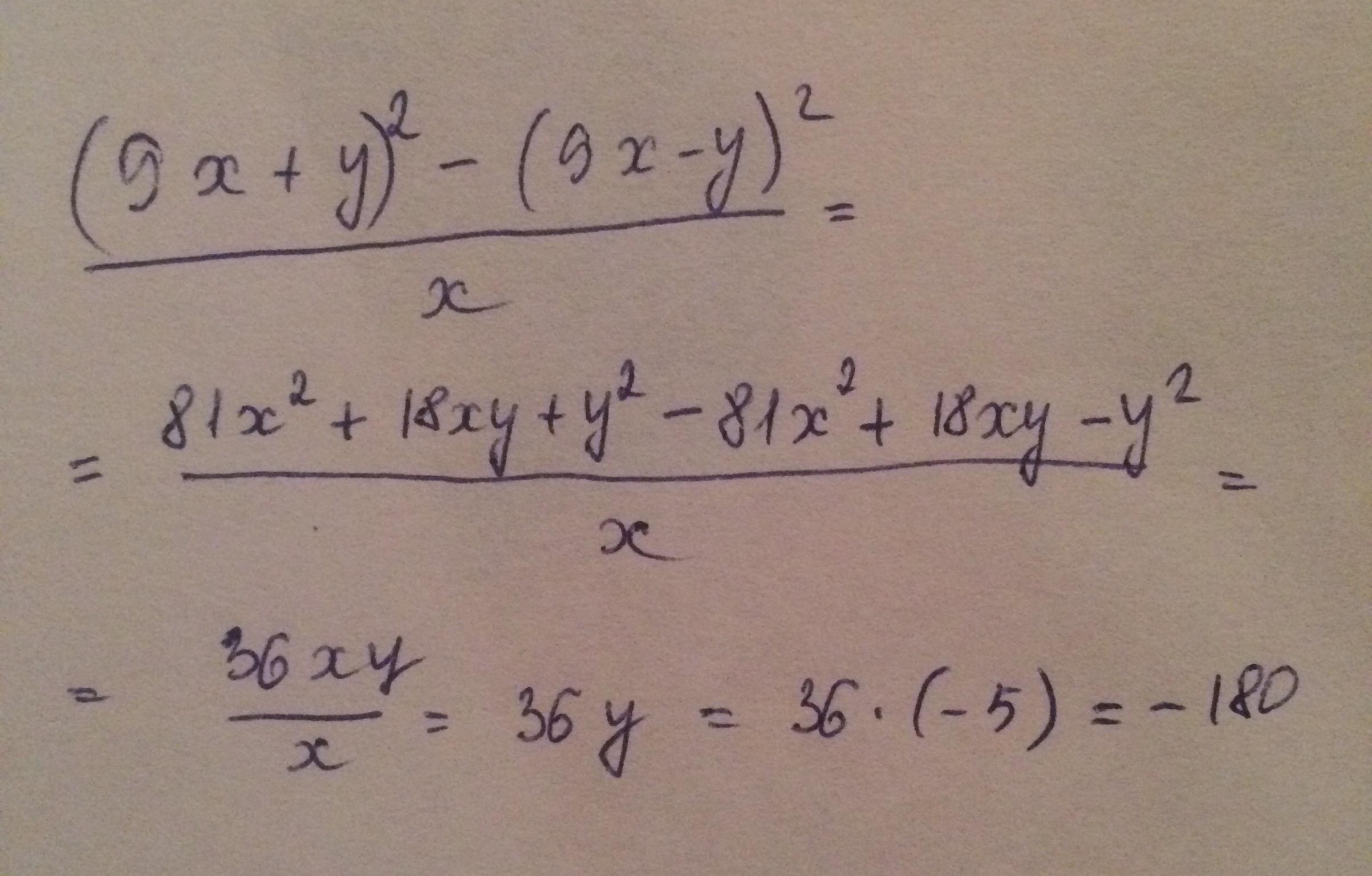
Не могу решить пример. Знаю что ошибаюсь по знакам, но не понимаю где. В ответе должно получится -180. Но у меня и не близко не получается. Объясните где и почему не правильно.
Приложения:
MESSI0001:
Ответ 0?
Нет
Ответы
Автор ответа:
1
Ответ:
36y, подставив -5 получишь -180
Пошаговое объяснение:
В числителе формула сокращенного умножения a^2-b^2=(a-b)(a+b)
(9x+y)^2-(9x-y)^2=2y*18x
(2y*18x)/x=36xy/x
x уходит, 36y
при y=-5: 36*(-5)=-180
Спасибо, поняла
Автор ответа:
0
Ответ:-180
Пошаговое объяснение:
Ошибка в раскрытии скобок
Приложения:
Похожие вопросы
Предмет: Математика,
автор: ArsenOruzgak
Предмет: Физика,
автор: tashilinadasha121211
Предмет: История,
автор: baskonasta39
Предмет: Алгебра,
автор: Profilara
Предмет: Химия,
автор: derzkiykirill