Предмет: Алгебра,
автор: sergeivanukov
Сделайте пожалуйста срочно
Приложения:
Ответы
Автор ответа:
1
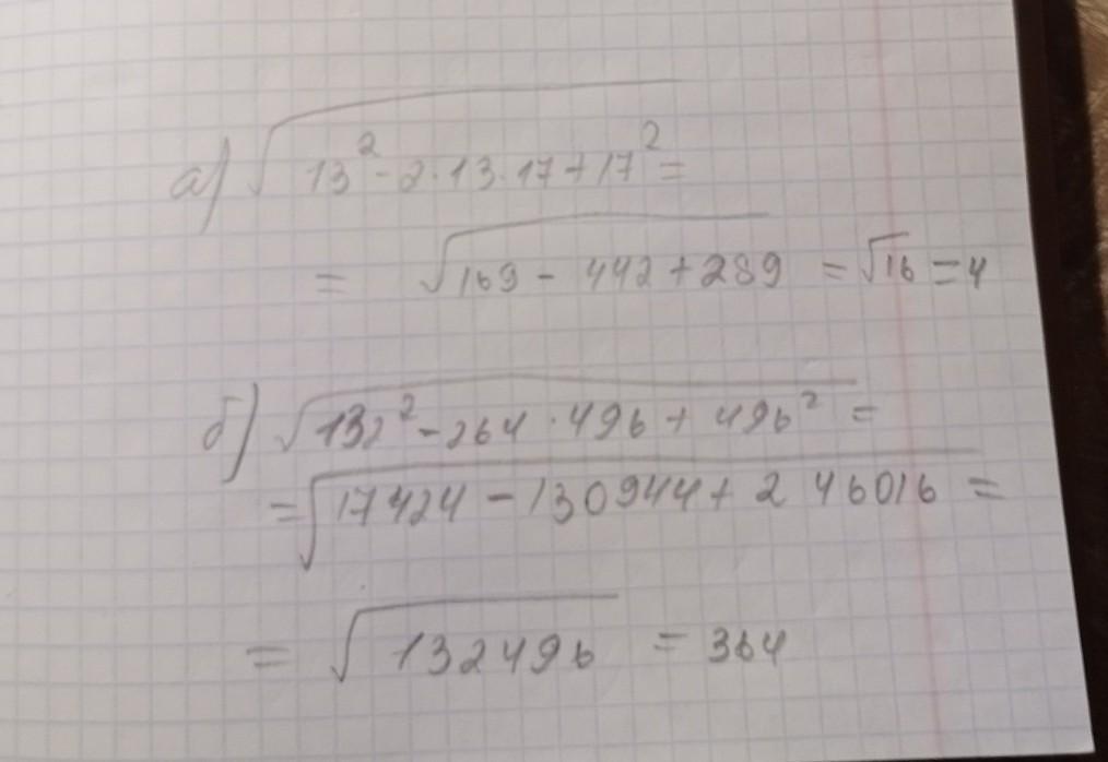
Ответ:
Вот такие ответы получаются...
Приложения:
Автор ответа:
1
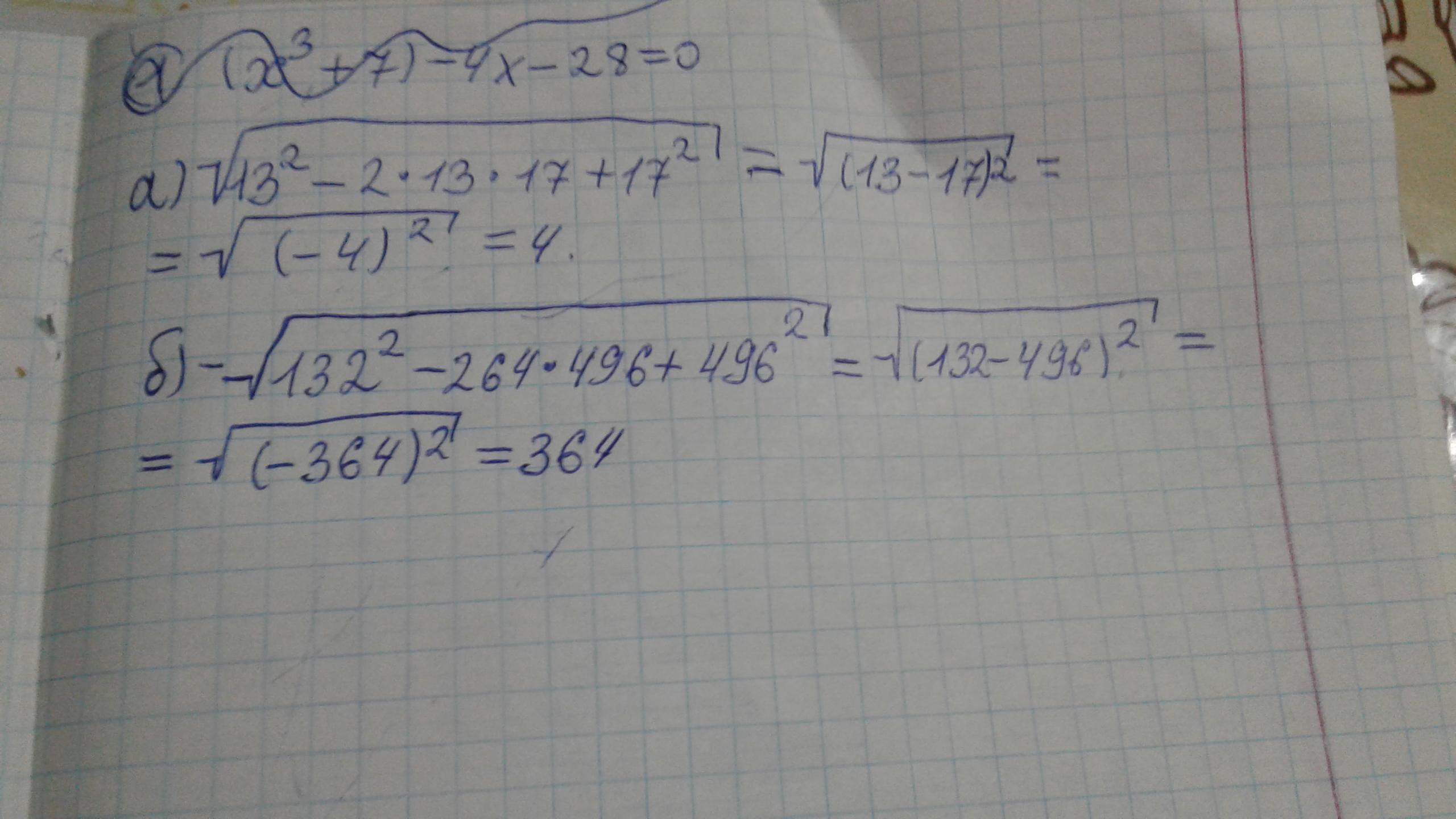
Вот такое вот решение получилось.все подробно расписал
Приложения:
Похожие вопросы
Предмет: Геометрия,
автор: rusltak07
Предмет: Физика,
автор: iraturic679
Предмет: Українська мова,
автор: alinayurchenko88
Предмет: Математика,
автор: Аноним