Предмет: Алгебра,
автор: haninnekit
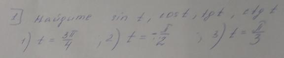
Помогите найти: sint, cost, tgt, ctgt
Приложения:
Ответы
Автор ответа:
0
на фото...................
Приложения:
Похожие вопросы
Предмет: Українська мова,
автор: MrKotyak
Предмет: Українська мова,
автор: amelnyk599
Предмет: Литература,
автор: Nytxix
Предмет: Геометрия,
автор: Bogdanvvy
Предмет: Математика,
автор: suvorovvitaliy