Предмет: Алгебра, автор: SonnyMoore2103

Помогите пожалуйста решить​

Приложения:

Ответы

Автор ответа: Phisalg
2

Ответ:

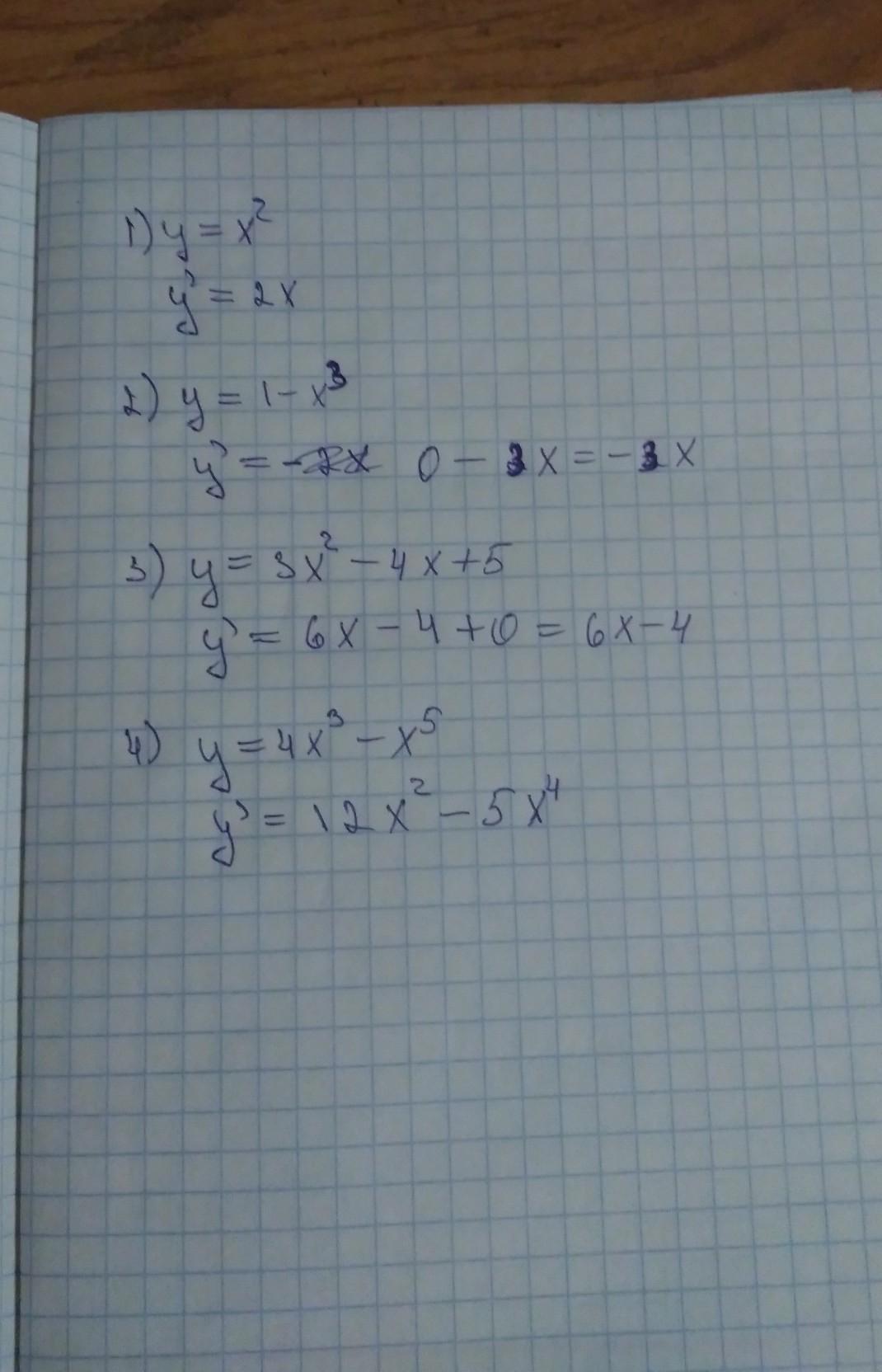
1)  2x \\ 2)   - 3 {x}^{2}  \\ 3)  6x - 4 \\ 4)12 {x}^{2}   - 5 {x}^{4}

Приложения:

SonnyMoore2103: а решения можно?))
Phisalg: сейчас
SonnyMoore2103: а поможете с другими заданиями?
Phisalg: давай
SonnyMoore2103: у меня в "вопросах"
Автор ответа: taisasnitko
2

Ответ:

Объяснение:1) y'=2x;

2)y'= -3x²;

3)y'=6x-4;

4)y'=12x²-5x^4.

Похожие вопросы
Предмет: Математика, автор: denisvisnovskij37
Предмет: Математика, автор: mansur3544