Предмет: Алгебра,
автор: Аноним
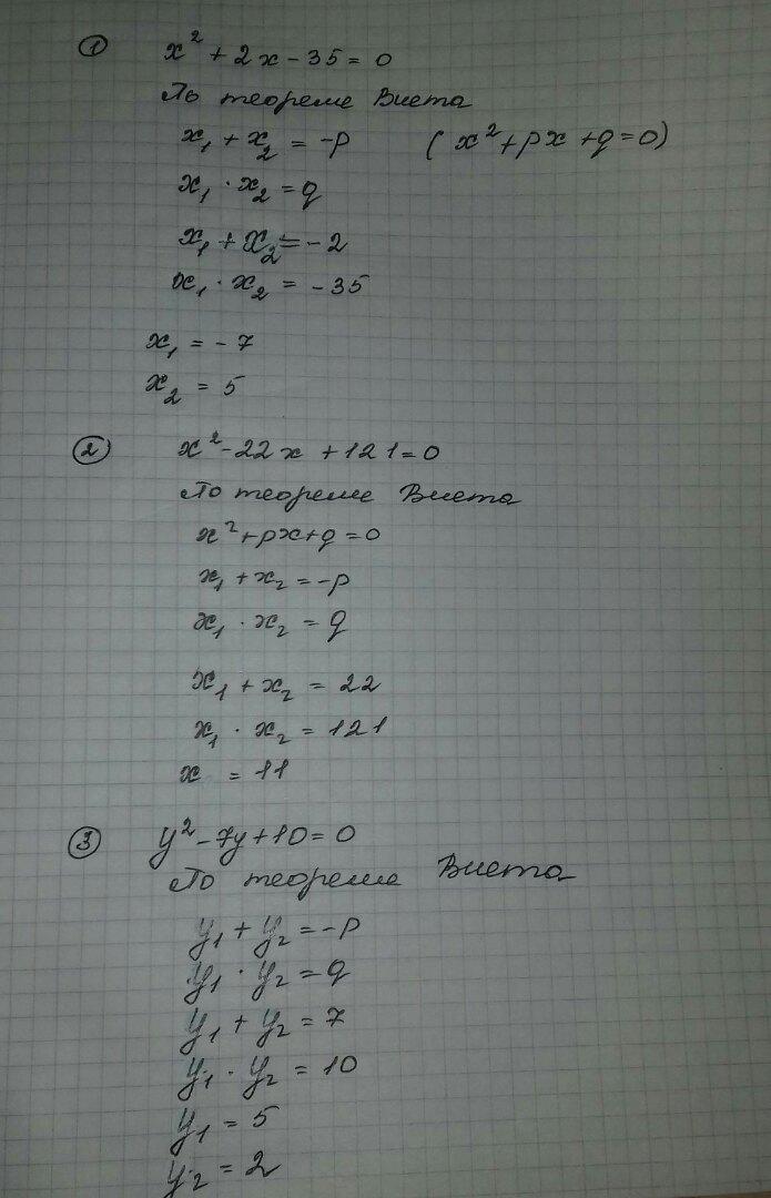
решить подробно по теореме Виета три примера
Приложения:
Ответы
Автор ответа:
2
Ответ:
по теореме виета .........
Приложения:
Автор ответа:
2
Ответ:
На фото ♥..........................
Объяснение:
Приложения:
Похожие вопросы
Предмет: Алгебра,
автор: kyleshova027
Предмет: Математика,
автор: margominard
Предмет: Литература,
автор: sachakoziumich
Предмет: Литература,
автор: стася0000000000000
Предмет: Физика,
автор: aHoHuMyS