Предмет: Алгебра,
автор: milayurkovskaya88
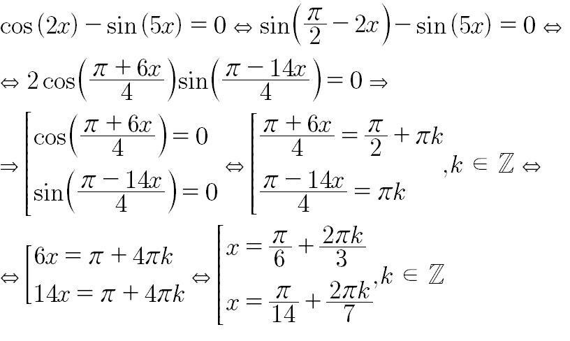
Решите пожалуйста уравнение cos(2*x)-sin(5*x)=0
Ответы
Автор ответа:
2
///////////////////////////////////////
Приложения:
Похожие вопросы
Предмет: Геометрия,
автор: v681513
Предмет: Английский язык,
автор: annahayba200864
Предмет: Литература,
автор: slavna542777
Предмет: Математика,
автор: Аида2612