Предмет: Алгебра,
автор: Alina8643
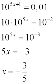
найдите корень уравнения:10^5x+1=0,01
Ответы
Автор ответа:
0
Проверь на всякий случай.
Приложения:
Похожие вопросы
Предмет: Информатика,
автор: 090730
Предмет: Литература,
автор: swetliwamarina62
Предмет: Математика,
автор: anapoplavskaa265
Предмет: Алгебра,
автор: УЧЕНИК52
Предмет: Биология,
автор: katyshershneva