Предмет: Алгебра,
автор: pokamolodoySAW
помогите срочно дам 25 балов 170 3,4
Приложения:
Ответы
Автор ответа:
1
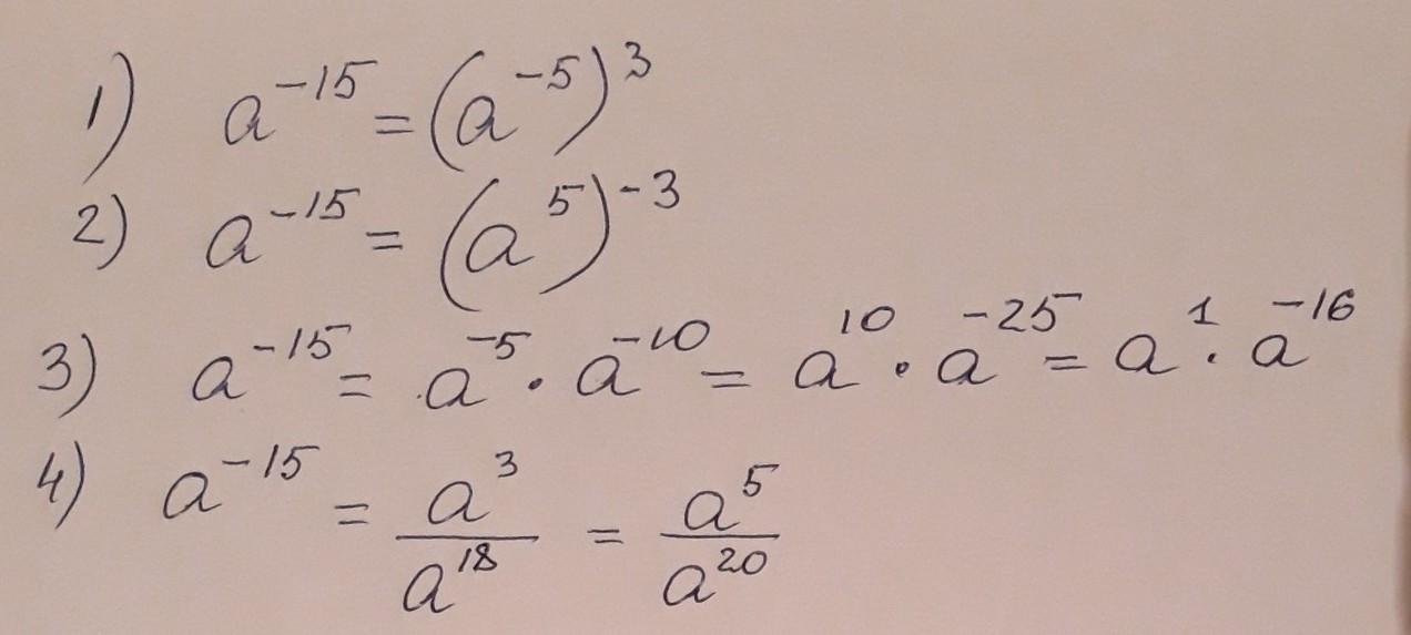
Ответ:
Свойства степени.
Ответ во вложении.
Приложения:
Похожие вопросы
Предмет: Алгебра,
автор: buslaeffda
Предмет: Геометрия,
автор: dashakarakova7
Предмет: Математика,
автор: arsenzh7ambyl
Предмет: История,
автор: RusLAAnchhIKkKk
Предмет: История,
автор: sadsonyas