Предмет: Математика,
автор: lina4376
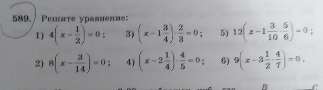
помогите пожалуйста дам 28баллов
Приложения:
Ответы
Автор ответа:
0
Ответ:
Пошаговое объяснение:
Приложения:
Похожие вопросы
Предмет: Информатика,
автор: 098102nik
Предмет: Алгебра,
автор: maksim223374
Предмет: Литература,
автор: savica505
Предмет: Физика,
автор: dennaumov007
Предмет: Литература,
автор: ангелина682