Предмет: Математика,
автор: Arina3636
Решите раскрыто два примера, пожалуйста)
Приложения:
Ответы
Автор ответа:
0
Ответ:
Пошаговое объяснение:
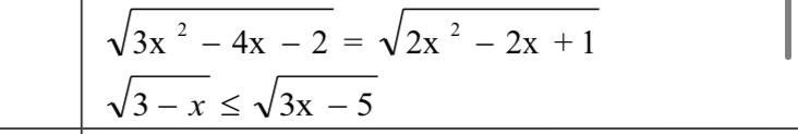
1)√(3х^2-4х-2)=√(2х^2-2х+1)
3х^2-4х-2=2х^2-2х+1
3х^2-4х-2-2х^2+2х-1=0
х^2-2х-3=0
Д=4+12=16
х1,2=(2±√16)/2
х1=(2+4)/2=6/2=3
х2=(2-4)/2=-2/2= -1
2)У меня не получается сделать знак меньше или равно
√(3-х)<√(3х-5)
3-х<3х-5
-х-3х<-5-3
-4х<-8
-х<-2
х>2
Arina3636:
Спасибо тебе, милая) Мне для сессии нужно было❤️
Похожие вопросы
Предмет: Английский язык,
автор: Dominikmask
Предмет: Информатика,
автор: alexa22022009
Предмет: Английский язык,
автор: poopvika6
Предмет: Математика,
автор: ник3334
Предмет: Математика,
автор: mangloldi