Предмет: Алгебра, автор: AliceMagic

как преобразовать, чтобы сделать адекватную замену? ​

Приложения:

HSS9860: Если рассматривать ОДЗ, то решений нет: под одним логарифмом находится значение с минусом, под вторым - то же, но с плюсом.
HSS9860: С такими входными данными на это непохоже.

Ответы

Автор ответа: matilda17562
2

Ответ:

Предложенное Вами неравенство решений не имеет.

Объяснение:

Вам справедливо указали на то, что не существует таких значений аргумента, при которых -log(3)x > 0 и log(3)x > 0 одновременно. Допустимых значений нет, неравенство решений не имеет.

Теперь по поводу того, какой способ решения задания из базы экзаменационных заданий рассматриваете Вы.

Первоначально в базе данных предлагалось абсолютно другое неравенство. Вы выложили здесь текст не первоначального задания. Вы уже выполнили ошибочные действия, неверно воспользовавшись свойствами логарифмов.

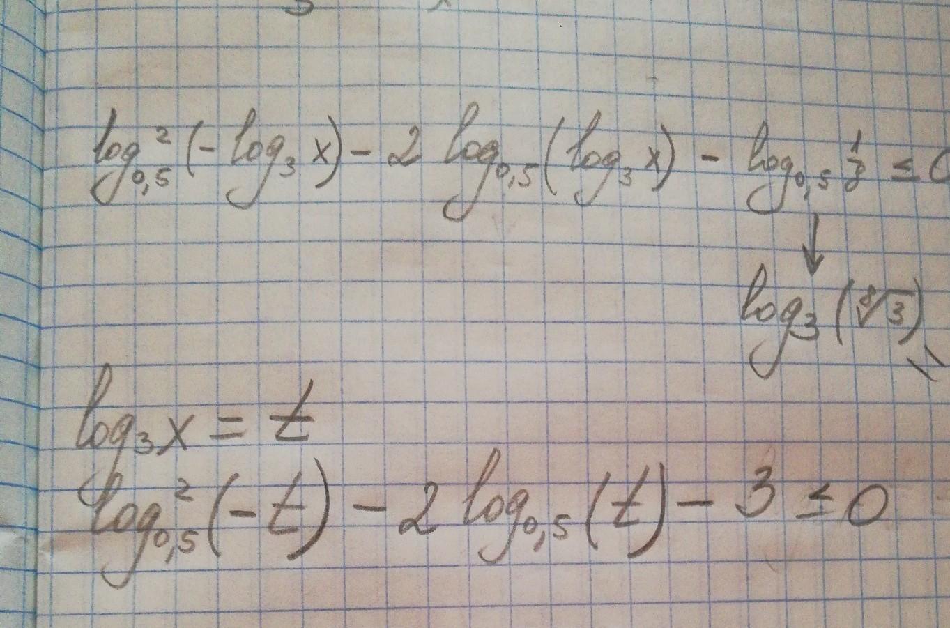
В условии

log²(0,5)(-log(3)x) - log(0,5)(log²(3)x) ≤ 3

Вынося квадрат, с учётом ОДЗ, Вы должны были получить

log²(0,5)(-log(3)x) - 2log(0,5)(-log(3)x) ≤ 3.

Вами в этих преобразованиях допущена ошибка. Всё дело в этом.

Ошибка типичная, спасибо за вопрос. Уверена, что рассуждения будут полезны многим абитуриентам.

Похожие вопросы