Предмет: Математика,
автор: ucjfjfjfjfu
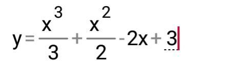
Найдите производную функцию (в конце штрих)
Приложения:
Ответы
Автор ответа:
0
Ответ:
у'=3х²/3+2х/2-2+0= х²+х-2 -ответ
Похожие вопросы
Предмет: Русский язык,
автор: missbabkina2003
Предмет: Русский язык,
автор: mmmm2007
Предмет: Геометрия,
автор: Аноним
Предмет: История,
автор: Liero1227
Предмет: Алгебра,
автор: DoctorStephenStrange