Предмет: Алгебра,
автор: ekaterinabanni
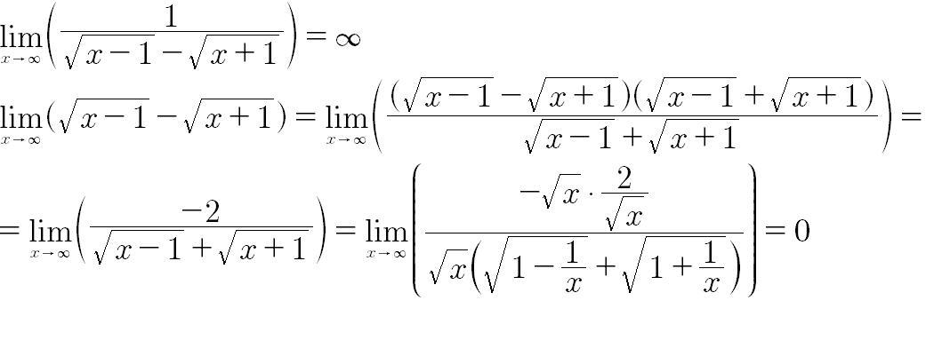
Сроочноо, вычислить предел функции, подробно
Приложения:
Ответы
Автор ответа:
1
/////////////////////////////////////////////
Приложения:
Похожие вопросы
Предмет: Алгебра,
автор: sumayasus07
Предмет: Математика,
автор: versachexdior
Предмет: Химия,
автор: dasasvistun84
Предмет: Биология,
автор: Аноним
Предмет: Алгебра,
автор: Павел2342345654531