Предмет: Информатика,
автор: yuliatemi57
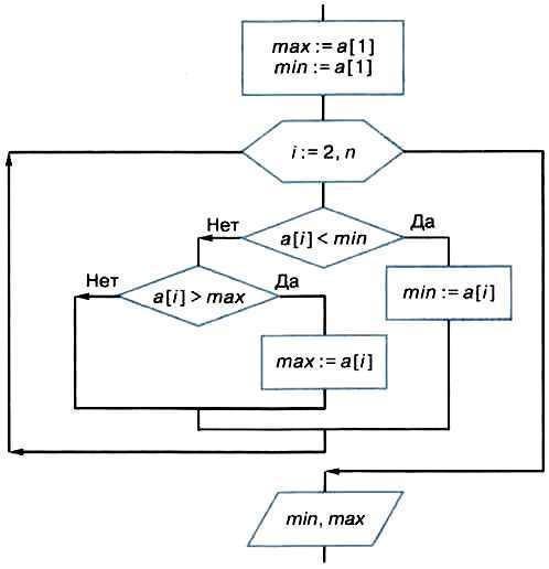
1) На блок-схеме представлен алгоритм одновременного поиска максимального и минимального значений элементов массива:
Реализуйте этот алгоритм на языке программирования и выполните программу для массива из следующего задания.
2)Имеется одномерный целочисленный массив из семи элементов:
Каким будет результат преобразования массива по следующему алгоритму?
for i:=k+1 to n do
a[i-1]:=a[i];
Приложения:
Ответы
Автор ответа:
9
1)
var max, min, i, n : integer;
a : array [1..255] of integer;
BEGIN
// ввод массива
read(n);
for i := 1 to n do
read(a[i]);
// то, что в блок-схеме
max := a[1]; min := a[1];
for i := 2 to n do begin
if a[i] < min then
min := a[i]
else if a[i] > max then
max := a[i];
end;
write(min, ' ', max);
END.
2) Если k - это любое число >= 1, то значения элементов массива сдвинутся на 1 влево. К примеру, если k = 1, то a[1] = 12, a[2] = 5, a[3] = 8 и так далее
Похожие вопросы
Предмет: Математика,
автор: g32416132
Предмет: Українська література,
автор: arhipovt572
Предмет: Физика,
автор: float19
Предмет: История,
автор: алепмуа
Предмет: Математика,
автор: лиза1562