Предмет: Алгебра,
автор: Missdemon
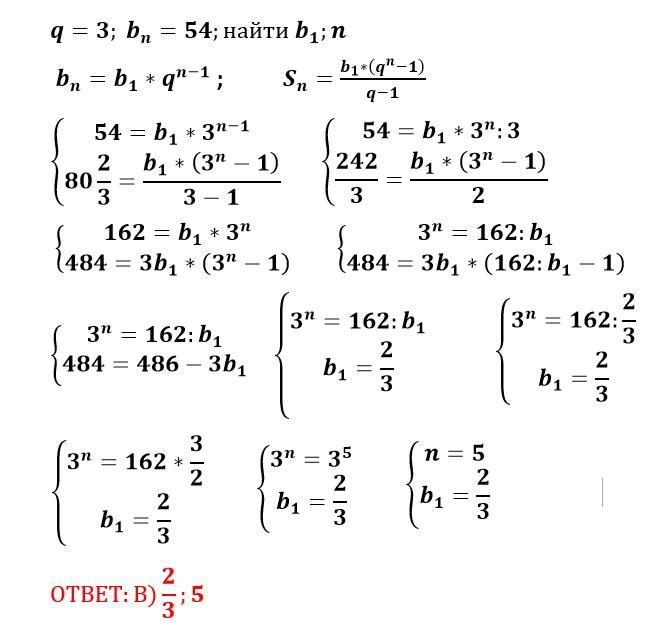
в геометрической прогрессии g=3;Bn=54
Приложения:
Ответы
Автор ответа:
1
Ответ:
Объяснение:
-------------------------------------------
Приложения:
Похожие вопросы
Предмет: Алгебра,
автор: mserkanov2
Предмет: Математика,
автор: nuriddink2706
Предмет: Українська мова,
автор: maksimprijmakenco31
Предмет: История,
автор: romanokayansky
Предмет: Литература,
автор: olegtolo