Предмет: Математика,
автор: qwetyhg3
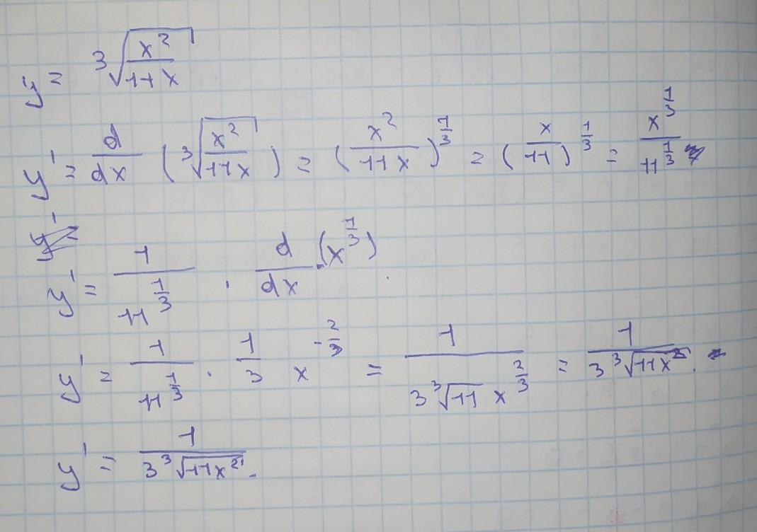
Нужно найти первую и вторую производную
Приложения:
Ответы
Автор ответа:
0
Ответ:
...................
Приложения:
Похожие вопросы
Предмет: Математика,
автор: demkovadarya
Предмет: Другие предметы,
автор: andriannasumbarec
Предмет: История,
автор: cristianodoshsantos9
Предмет: Математика,
автор: iness4
Предмет: Алгебра,
автор: Lodovica163