Предмет: Математика,
автор: Аноним
ПОМОГИТЕ С ПРИМЕРОМ УМОЛЯЮ
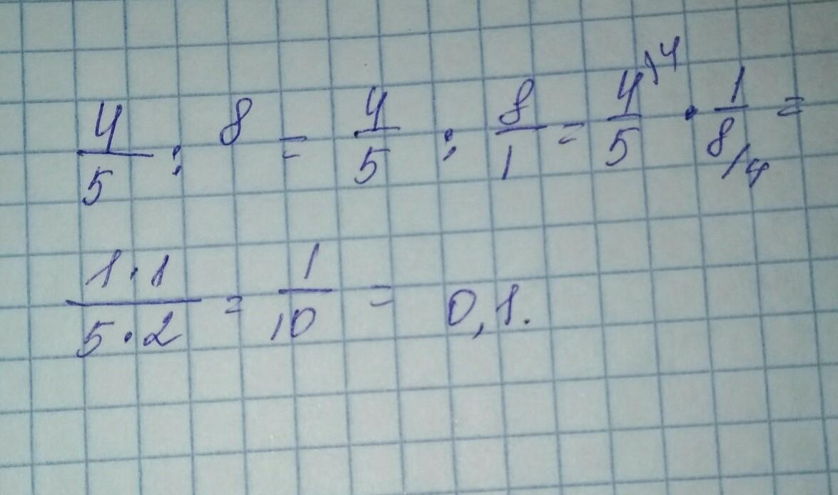
4/5 : 8
(четыре пятых делить на восемь целых)
Ответы
Автор ответа:
3
тут все понятно. лови ответ
Приложения:
Похожие вопросы
Предмет: Биология,
автор: cifrasity219
Предмет: Химия,
автор: tapku
Предмет: Английский язык,
автор: nazibotokanova
Предмет: Математика,
автор: ИлларионоваНастя